簡介
糙度係數 糙度係數又稱糙率。一般用表示。反映對水流阻力影響的一個綜合性無量綱數。邊界表面越 粗糙,糙率越大;邊界表面越光滑,則糙率越小。
水利水電工程泥沙設計時,通常採用實測天然河道豐、平、枯不同流量的同時水面線,按庫區各斷面的水面高程、面積、流速,由恆定非均勻流能量方程式推算斷面間的天然綜合糙度係數。還有利用庫區水尺建立的天然水位流量關係線推求各級流量的河段平均天然綜合糙度係數。這是公認較可靠的方法,如三峽設計時水庫尾部的天然河道糙度係數推求,經爭論後在尾部段布設了密集的水尺。但需指出,該方法求得的糙度係數實際上帶有水位觀測誤差。
糙度係數公式
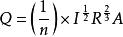
水文測站糙率原始資料測驗的技術標準,執行水利電力部1974年11月頒布的么水文測驗試行規範》和1975年2月頒發的《水文測驗手冊》。該規範和手冊規定河床糙率採用謝才—曼寧公式計算,即
糙度係數
糙度係數
糙度係數
糙度係數
糙度係數 式中: 為糙度係數,為斷面平均流速;為水力半徑,即過水斷面面積與濕周之比。對於寬淺型河道,當水面寬度大於斷面平均水深的10倍時,濕周可近似地用水面寬代替,則水力半徑等於斷面平均水深; 為水面比降。
實際上,水文部門糙度係數資料的測取和計算,在上述規範和手冊頒布之前,同樣是按照這種方法進行的。
影響糙度係數的因素
影響糙度係數的主要因素
對於天然河流來說,糙度係數的原有定義是河床、岸壁的不規則性和表面粗糙度以及其他影響水流運動能量損失的因素的一個綜合性指標,它直接決定水流沿程能量損失的大小。影響糙度係數大小的主要因素是:
1、河床組成、岸壁特徵:河床中的泥沙、卵石、原生岩石等組成物的構成及粒徑,河床岸壁的表面平整或凹凸情況,構成河床和岸壁的表面粗糙度。此外,岸坡的陡峻、傾斜程度,中、低水深時有無邊灘,都會引起濕周的變化,產生各種組合情況下對水流不同程度的阻力影響因素。
2、植被狀況:主要指河床邊壁及岸灘植被的有無以及種類、密度、高度、季節或年際變化等。
3、河段平面特徵及水流情況:如河段順直或彎曲程度,平面擴散、收縮形態,上下游有無卡口、急灘、閘壩、橋樑、支流匯入,岸邊水流是否暢通或有無漩渦、死水等。
糙度係數 由於天然河流的複雜性,無法通過影響因素對糙率進行定量分析。因此,通用的方法是根據實測水文資料綜合分析糙率取值及其變化情況。
河道比降對糙度係數影響
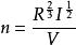
從理論上來講,河道比降與糙度係數取值是沒有直接關係的。謝才—曼寧流量公式的形式為
糙度係數
糙度係數
糙度係數
糙度係數
糙度係數
糙度係數 式中:為洪峰流量;為水面比降;為水力半徑;為有效過水斷面面積;為糙度係數。
糙度係數
糙度係數 在謝才—曼寧流量公式中,比降和糙率是兩個相互獨立的水力因素。倘若人工砌築兩個相同的過水斷面,即床面組成結構和斷面形態均相同,則糙率是一致的。在其底坡有所差異時,根據上式,其區別是底坡大的因流速大而過水能力強,流量大;底坡小的因流速小而過水能力弱,流量小。
對於某一具體河段來說,由於河道地形地貌和河床的組成結構是既定的,所以,它的糙率也是一個定值,即在人們認識它以前或以後,它是一個確定的值,僅僅在水深發生變化時由於水流與河床的接觸面發生了變化,糙率值才發生變化。
目前來看,推求糙率一般多套用實測水文資料,使用謝才—曼寧公式來計算,而其中的水面比降、水力半徑、流速是不可或缺的水力要素,所以本次研究所得出的糙率表列出了洪水的水面比降供參考。這裡需要說明一點,洪水波從上游向下游傳遞時,有一個附加比降,所以在洪水發生期,水面比降與河底比降往往表現得不一致,即漲水期的水面比降大於河底比降,而落水期的水面比降一般都小於河底比降。洪水頂峰附近,認為河道水流屬於一種暫時的恆定流,測取此時的水面比降具有代表性。
河道寬深比對糙度係數的影響
河道的寬深比是以河道寬度為分子、平均水深為分母計算出來的一個河道形態係數。寬深比大,則說明河道呈現為寬淺型;寬深比小,則說明河道呈現為窄深型。一般意義上講,寬淺型河道因水流所遇阻力大(主要是河床底部河床質對水流的阻力作用)而糙度係數也大,窄深型河道因水流所遇阻力小而糙度係數也小。但是,當窄深型河道兩岸有樹林或高稈作物等情況時,水流遇到的阻力也會相應增大,這種情況應另當別論。

