正文
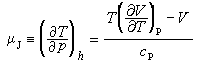
流體流動時由於通道截面突然縮小(如孔板、閥門等)而使壓力降低的熱力過程。過程中,若流體與外界沒有熱量交換,則稱絕熱節流。節流過程是一個不可逆的多變過程。流體經過絕熱節流後,熵增加。 絕熱節流前後流體的動能沒有變化時,其焓值保持不變。 絕熱節流前後的流體溫度變化稱為絕熱節流的溫度效應,可以用絕熱節流係數或焦耳-湯姆森係數μJ表征μJ>0、μJ<0和μJ=0,分別表示絕熱地節流減壓後的流體溫度將下降、上升和保持不變,因此分別稱為絕熱節流的冷效應、熱效應和零效應。對於理想氣體,因V,故絕熱節流恆為節流零效應。 對於實際流體,節流的溫度效應與流體的種類及其狀態有關,可由T-p(溫-壓)圖表示。圖為氮氣的節流效應。實線代表定焓線,虛線稱為轉換曲線,虛線上各點均呈零效應,相應的溫度稱為轉換溫度。轉換曲線將T-p圖分為兩個區域:曲線右邊的熱效應區和曲線左邊的冷效應區。當節流前流體的狀態處於冷效應區內時,節流後總是呈冷效應。當節流前流體的狀態處於熱效應區內時,節流後呈何種效應,視壓降而定。壓降足夠大時呈冷效應,否則呈熱效應。圖上Tu和Tl分別稱為最高和最低轉換溫度。節流前流體的溫度高於Tu或低於Tl,節流後都不會得到冷效應。 利用節流冷效應是獲得低溫和使氣體液化的一種常用方法。節流原理還常用於流量測量壓力調節和流量調節中。

