特性
有壓管道中液體流速急劇變化時引起管內液體壓強大幅度波動的非恆定流現象稱為水擊或水錘。管道系統中閥門的快速關閉及開啟,供水系統中水泵的突然停機或起動,以及水電站機組負荷變化使水輪機導水葉迅速啟閉等,都會在管道系統中產生水擊。水擊可能導致管道系統振動、噪聲和空化,甚至使管道嚴重變形、壓癟或爆裂。水電站壓力引水道較長時,常在引水道未修建調壓室,以減少水擊的強度和作用範圍。水輪機組引用流量變化時,除了在壓力管道中發生水擊外,引水道-調壓室系統中還產生水體振盪,這種非恆定流現象常稱為涌浪。運動要素變化快、幅值大、流體和管壁的彈性影響顯著是水擊與涌浪的主要區別 。
管道非恆定流的水力要素
管道非恆定流
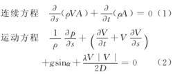
管道非恆定流管道非恆定流的水力要素如斷面平均流速(V)、平均壓強(p)等均為時間(t)和沿流程的距離(s)的函式:根據流體質量守恆和動量原理,同時計及流體的可壓縮性和管壁材料的彈性時,管道截面積(A)和流體密度也是時間(t)和距離(s)的函式:,
管道非恆定流可以導出管道非恆定流的基本微分方程如圖。
式中,g為重力加速度;α為管道軸線與水平面的夾角;λ為沿程水頭損失係數:D為管道直徑。
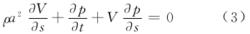
管道非恆定流對於稜柱體管道和可壓縮性較小的流體(例如水),並引入水擊波速(a),連續方程可化為方程(3)
從運動方程、連續方程出發,經過不同程度的簡化,可以得出不同的管道非恆定流計算方法。常見的方法有解析法、圖解法、特徵線法、隱式差分法、線性分析法等目前最常用的方法是特徵線法,它把連續方程和運動方程這一組雙曲型擬線性偏微分方程變換成四個全微分方程,然後沿特徵線積分,離散為有限差分的形式,用規定時間間隔的方法,通過計算機進行求解。
管道非恆定流分析計算廣泛用於水利水電、灌溉供水、能源化工、液壓傳動等工程中。例如:水電站、泵站的有壓輸水系統,供水管網,火、核電站的冷卻水系統,化工流體、天然氣和石油輸運管路,液壓裝置,管路系統等 。
