等速採樣原理
等速採樣是為了從煙道中取得具有代表性的煙塵樣品,需要進行等速採樣,即氣體進入採樣嘴的速度V應與採樣點的煙氣速度V相等,其相對誤差應在-5%~+10%以內。採樣速度大於或小於採樣點的煙氣流速都將使採樣結果產生偏差。
當採樣速度大於或小於採樣點的煙氣速度都將使採樣結果產生偏差,當採樣速度Vn大於煙氣速度Vs時,處於採樣嘴邊線以外的部分氣流進入採樣嘴,而其中的塵粒由於本身的慣性作用,不能改變方向隨氣流進入採樣嘴,繼續沿著原來的方向前進,使採取的樣品濃度低於採樣點的實際濃度。當採樣速度Vn小於採樣點的煙氣速度Vs時,情況恰好相反,樣品濃度高於實際濃度。只有採樣速度Vn等於採樣點的速度Vs時,樣品濃度才與實際濃度相等。
等速採樣方法
預測流速(或普通採樣管)法
該方法必須先測出採樣點的煙氣溫度、壓力、含濕量,計算出流速,再結合採樣嘴直徑計算出等速採樣條件下各採樣點的採樣流量。
等速採樣就是使採樣嘴口的採樣速度與煙道內煙氣的流速相等,過大或過小的採樣速度都是對煙氣流動場的破壞,使測量的煙塵濃度失準。預測流速採樣法就是預先測出煙道內的煙氣流速、溫濕度,再根據選定的採樣嘴計算出所需的等速採樣流量
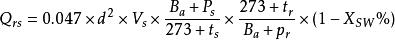
等速採樣式中Q——等速採樣流量,L/min;
d——採樣嘴直徑,mm;
V——煙氣流速,m/s;
Ba——大氣壓強,kPa ;
Ps——煙氣靜壓,kPa ;
t——煙氣溫度,℃;
t——流量計前溫度,℃;
Pr——流量計前壓力,kPa;
Xsw——含濕量,%。
該法的適用條件是:在進行連採樣前測定了流速,再按此流速續等速採樣,因此,煙道內的流速在這一段時間內應保持不變,即煙氣狀態參數穩定。方法要求在採樣完畢後,煙氣流速與採樣前相比偏差<20%,否則,視為無效結果。
動壓平衡型等速採樣系統
等速採樣動壓平衡型等速採樣系統由採樣管、雙聯傾斜微壓計、轉子流量計、累計流量計、壓力計、溫度計、乾燥器、冷凝器和抽氣泵組成。其採樣系統裝置見右圖。其原理是利用在採樣管上孔板的差壓與採樣管平行放置的皮托管指示氣體動壓相平衡來實現等速採樣。動壓平衡等速採樣管是由濾筒採樣管和S型皮托管構成,除裝在濾筒夾後的孔板外,其他均與通用的濾筒採樣管和S型皮托管形同,皮托管在採樣系統中用來指示採樣點的氣體動壓,孔板則用來控制等速採樣流量,採樣嘴徑一般為6mm和8mm。雙聯傾斜微壓計用來指示皮托管的動壓和孔板的差壓,它由2個可調角度的傾斜微壓計並聯而成。其他部分的結構和作用均可同預測流速法採樣系統。
靜壓平衡型等速採樣系統
靜壓平衡型等速採樣系統與動壓平衡型採樣系統基本相同,不同之處主要在於採樣管的區別,靜壓平衡等速採樣系統是利用採樣管管嘴內外靜壓相等且速度相等的原理,採樣管由採樣嘴、濾筒夾和連線管三部分組成,其結構是在採樣嘴靠近管嘴的內外壁上開有測量管嘴內外靜壓的小孔或窄縫。採樣時,調節採樣流量使採樣嘴內靜壓等於嘴外靜壓,即使採樣速度等於採樣點處氣體流速。

