基本介紹
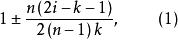
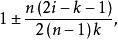
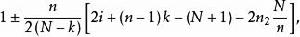
等距抽樣二端修正法是一種對具有線性趨勢總體的等距抽樣估計的改進方法。設N為總體單位數,n為樣本容量,抽樣間距k=N/n,等距抽樣時在1-k中隨機抽取i作為起點,依次的樣本單位序號為i,i+k,i+2k,…,i+(n-1)k。隨著i的位置偏高或偏低會給估計值帶來偏倚。耶茨(F.Yates)1948年提出了兩端修正法,即對樣本中所有中間單位的權都取為1,而對頭一個和末一個單位給予不同的權:
等距抽樣二端修正法加號(+)用於頭一個樣本單位,減號(-)用於末一個樣本單位。可以證明,對於任意的i,這兩個權之和為2;當總體為線性趨勢時,加權的樣本均值就是總體均值。
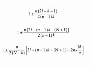
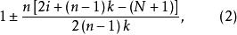
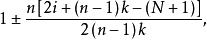
貝爾豪斯(D. R.Bellhouse)與拉奧(J.N.K.Rao)1975年將耶茨的方法推廣到N≠nk時的循環等距抽樣。與耶茨方法一樣,按總體原有次序排列時樣本中的第一個單位與末一個單位給予與1不同的權:此時有兩種情況,一種情況是當i+(n-1)k≤N時(第一個單位取加號,末一個單位取減號) 的權是:
等距抽樣二端修正法另一種情況是當i+ (n-1) k>N時的權為:
等距抽樣二端修正法其中n是循環等距抽樣時超過第Y個單位的樣本單位的個數。
詳細介紹
處理有線性趨勢的總體的方法
存線上性趨勢時,等距抽樣的效率可以用幾種方法來改進。一是用中心位置的樣本。另一種是將不加權的均值估計量變成加權的,加權時樣本中所有中間單位的權都是1(在除n以前),但對頭一個和末一個單位給不同的權。 若在1到k中抽到的隨機數是i,則這些權就是
等距抽樣二端修正法加號用於頭一個樣本單位,減號用於末一個樣本單位。對任意i,這兩個權之和是2。讀者可以證明, 若總體是由一個線性趨勢所構成的,N=nk,則加權的樣本均值就是準確的總體均值。這些兩端修正方法的效率已由提出方法的耶茨(1948年)驗證過。
貝爾豪斯(Bellhouse)與拉奧(1975年)將耶茨的方法推廣到N≠nk,等距樣本用拉希里的圓形法來抽取的情形,它保證n是常數。和前面一樣,按總體原有次序排列時樣本中的第一個單位與末一個單位給以與1不同的權。例如N=23,n=5時,若抽得起始的一個隨機數是19,於是編號為19,1,6,11,16的單位就組成樣本,第一個和末一個單位是y和y。會出現兩種情況:
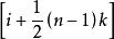
等距抽樣二端修正法情況1 小的i, ,於是所得的n個單位不經過y。對第一個單位(+)和末一個單位(-)的權是
等距抽樣二端修正法情況2i+(n-1)k>N,設過y後所得的樣本單位有n個, 因此當i=19時,n=4。 頭一個單位和末一個單位的權是
等距抽樣二端修正法
等距抽樣二端修正法
等距抽樣二端修正法在這兩種情況下,整個樣本中間的那些樣本單位的權都是1。當 時,頭一個與末一個的權是 。因此y的權是11/18,y的權是25/18。
另外兩種方法是想改變樣本的抽法使得樣本均值不受趨勢的影響。當N=nk,n是偶數時,塞蒂(Seth;1965年)提出的一個方法是把總體分為n/2層,每層含量為2k, 在每層中選與兩端等距的兩個單位。當起始的隨機數是i時,n/2對單位的號碼是
等距抽樣二端修正法這個選法消除了每層中2k個單位的線性趨勢的影響,即使各層線性的斜率不同也能消除。莫蒂(1967年)稱它為對稱等距抽樣法(balanced systematic sampling)。
辛(Singh)等人(1968年)的修正方法是選對總體兩端等距離的成對單位,當n是偶數時,從第i個單位起始的n/2個等距離的對是i=1,2,...,k)。
等距抽樣二端修正法
等距抽樣二端修正法
等距抽樣二端修正法
等距抽樣二端修正法
等距抽樣二端修正法在這些方法中,當n是奇數時,(4)和(5)的j變到 為止。對稱法(4)要加上靠近終端在 的餘下的一個樣本單位;修正法則要加上靠近中間的 的餘下的一個樣本單位。n是奇數時,在 內線性趨勢的影響是不能完全消除的。
貝爾豪斯和拉奧(1975年)把這兩種方法的效率和耶茨兩端修正法的效率作了比較,也把它們和一般等距抽樣的效率作了比較,這些比較是在有線性或二次趨勢的、有周期的或自相關的變異的超總體上進行的;這些作者和辛(通過私人通訊方式)還對少數小的自然總體使用這些方法時的效率作了比較。總的說來,這三種方法(耶茨法、對稱法、修正法)的效率是相似的,在有線性或二次趨勢的情況下,都比一般的等距抽樣效率高。

