簡介
等價分解是函式分解論中討論分解惟一性時的重要概念。
等價分解
等價分解
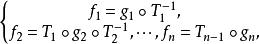
等價分解設F(z)為一超越整函式,具有兩個非平凡分解: 若m=n及存在有n-1個雙線性函式 使得 則稱上述分解為等價的。
分解惟一性
分解惟一性是函式分解論中研究的重要性質之一。若一亞純函式F(z)的任兩個非平凡分解皆為等價時,則稱F具有分解惟一性。
等價分解
等價分解由於 為明顯的兩個非等價的分解,所以為避免混淆及複雜性,現考慮因子皆為超越整函式,並且因子為素的情形來討論分解惟一性,即F(z)為一超越整函式且F可表為 其中f及g等皆為超越的素整函式,若上述兩種分解等價,則稱F具有分解惟一性。
雙線性函式
(bilinear function )
雙線性函式是線性函式的推廣。設V,V是域P上的線性空間,V×V到P的雙線性映射φ稱為V×V上的雙線性函式。特別地,當V=V=V時,φ稱為V上的雙線性函式。
半雙線性函式(sesquilinear function)是雙線性函式的推廣。
