概念
第六類例外典型域(exceptional classical do-main of sixth class)是典型域之一。第六類例外典型域R(27):它雙全純同構於無界域:
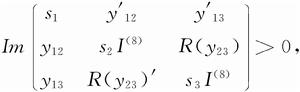
第六類例外典型域其中s,s,s∈C,y,y,y∈C,記:
第六類例外典型域則
第六類例外典型域R(y)=
第五類例外典型域
第五類例外典型域(exceptional classical do-main of fifth class)是典型域之一。第五類例外典型域Rv(16):它雙全純同構於無界域:
第六類例外典型域
第六類例外典型域第四類典型域
第四類典型域(classical domain of fourthclass)亦稱李球,典型域之一。第四類典型域:
第六類例外典型域其中z=(z,z,…,z)為由n個獨立復變數z,z,…,z構成的1×n矩陣。
第三類典型域
第三類典型域(classical domain of third class)是典型域之一。第三類典型域:
第六類例外典型域其中Z′=-Z,即Z由n(n-1)/2個獨立變數:
第六類例外典型域構成,又:
第六類例外典型域典型域
典型域是多複變函數論的基本概念。C中不可分解對稱有界域在全純等價下分類的標準域稱為典型域。它們有四大類和兩個特殊的域,分別在16維及27維復歐氏空間中,這兩個域也稱為例外典型域。
多複變函數論
多複變函數論是研究多個復變數的全純函式的性質和結構的學科,是分析學的一個分支,有時也稱之為多複分析。
多複變函數論的研究,早在單複變函數論的黎曼和外爾斯特拉斯時代就已經零散地開始了。但真正標誌著多複變函數論這一學科創立的,是19世紀末和20世紀初龐加萊、庫辛和哈托格斯等人的工作。他們的工作揭示了多復變全純函式本質上的獨特性。在這當中,庫辛提出的關於全純函式整體性質的兩個以他的名字命名的問題以及列維提出的擬凸域和全純域是否等價的問題,更有著深遠的影響,長時間成為多複變函數論發展的推動因素。20世紀30年代以前,雖然出現過萊因哈特關於解析自同構群、伯格曼關於核函式和度量等方面的重要工作,但整體說來,多複變函數論處於相對沉寂時期。從20世紀30年代開始,多複變函數的研究迎來了初步繁榮。在這一時期陸續出現了H.嘉當關於全純自同構的唯一性定理、有界域全純自同構群的李群性質以及全純域與全純凸的等價性的嘉當—蘇倫定理等突出成果。特別是從1936年開始,日本數學家岡潔對庫辛問題、列維問題、逼近問題等多復變的中心問題進行了長期、系統而富有成效的研究,終於在20世紀50年代對上述諸問題給出了解答。他的這一系列工作對後來多複變函數的發展有著重大影響。20世紀50年代以後,和現代數學的綜合化、抽象化的總潮流相一致,在多複變函數論中用拓撲方法和幾何方法研究全純函式的整體性質的趨勢變得越來越明顯。由勒雷引進拓撲學的層及其上同調的概念被迅速而成功地用於多複變函數。這一概念和H.嘉當早先關於全純函式理想論的研究以及岡潔的思想結合,導致了凝聚解析層理論的建立。與此同時,復空間與施泰因流形的概念也應運而生。H.嘉當和塞爾系統地套用凝聚層理論建立了施泰因流形的基本定理。此後不久,格勞爾特解決了複流形的列維問題,他和雷默特、施泰因等人還大大發展了復空間的理論。整個20世紀50年代是多複變函數的黃金時代。
另一方面,近代微分幾何與複分析的相互融合也在不斷地加快步伐。1913年,外爾的黎曼曲面理論導致了複流形概念的建立。E.嘉當的外微分式與拓撲的結合產生了德·拉姆的上同調理論。以此為基礎,霍奇將黎曼曲面上的調和函式理論推廣到高維的緊緻複流形,證明了緊複流形的基本定理——霍奇定理。20世紀40年代以後,與微分幾何中的博赫納技巧相結合,霍奇理論又由小平邦彥所發展和完善。20世紀60年代,博赫納—小平邦彥方法又進而推廣到非緊的帶邊界的複流形,發展成為近代多複分析的一個有力工具——問題的L估計。
多複變函數論中具有重要意義的第三方面進展是西格爾在1935——1950年間建立的多複變函數的自守函式論。20世紀50年代以後,由於塞爾伯格、朗蘭茨、蓋爾范德等人的工作,揭示了它與代數數論、李群的無窮維表示、代數幾何等眾多學科的內在聯繫,而日益成為目前極為活躍而且引人注目的近代數學領域之一。
