簡介
空間相干是指光場中不同的空間同一時刻波場的相關性。楊氏實驗裝置是分析空間相干性的典型實例。
空間相干
空間相干
空間相干因此當OO'=∆X時是極限寬度(∆X 是條紋間距),由前面的公式可得:
空間相干上式中,b是極限寬度,D是相干間隔。
相干面積
在這截面上各點的光都是相干的。
光源的有效使用面積:是光源產生有效面積的允許尺寸。
空間相干
空間相干因為,而。所以
空間相干
空間相干令,則有
空間相干光源尺寸對干涉效應的影響
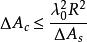
由於空間相干性的要求而提出的對光源尺寸的要求是:因光源引起的附加光程差應小於λ/2。實際上,為使干涉條紋清晰,對光源的要求更加嚴格,光源引起的附加光程差應小於λ/4。
但是從使用的角度看,總希望光源尺寸大些,以使入射光強度大些,這樣更有利於觀察。
對於每種具體的干涉裝置,都應根據被測預先估計所允許的光源大小。
例如:
空間相干(1) 雙縫干涉,對光源的要求是,它限制了光源的有效使用面積。
空間相干(2) 等厚干涉,對光源的要求是,限制了光源的尺寸。
注意:平行光入射的等厚干涉觀察裝置中,對光源的允許尺寸是:
空間相干等厚干涉
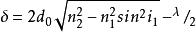
單色點光源引起的等厚干涉條紋:
(1)裝置:在一均勻透明介質n中放入上下表面成一微小夾角 的均勻透明介質薄膜n(也稱劈尖) ,用單色點光源照射薄膜,其反射和透射光如圖所示。
空間相干(2)光路分析:如圖所示。C’可視為C的象。
空間相干(3)相干性分析:
如上圖所示,兩光束c和a由同一光源發出且有幾乎有相同的傳播方向,所以頻率相同、相差恆定、振動方向相同,是相干光束。
(4)光程差:如上圖所示。
額外程差:
無論n<n 還是n >n,在兩反射光束中,始終存在半波損失,故有λ/2的額外程差
光程差:兩光束的光程差為:
空間相干
空間相干其中,額外程差取—λ/2
由於一般情況下薄膜很薄,且上、下兩表面夾角很小,所以,推導得:
空間相干(5)干涉公式:
當下式成立時,
空間相干干涉相長,亮紋;
當下式成立時,
空間相干干涉相消,暗紋。
擴展光源
雷射出現前,所有的光源(例如過去光學實驗室中使用的白熾燈、鈉燈、汞燈等)都可稱為擴展光源。用雷射照射散射物體形成的散射光束也是擴展光源。擴展光源的特點是發光面積較大,光線出射方向(波矢量)極多。或者說他的空間頻譜極寬,相干面積極小。也就是空間相干性極差。
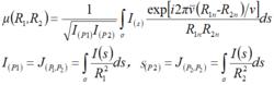
范西特-澤尼克定理
如下圖所示,
空間相干
空間相干p1、 p2兩點的總光強為。
其中,
空間相干
空間相干復相干因子為μ:
空間相干以上式子描述了空間復相干度與光源強度分布之間的關係。稱之為范西特-澤尼克定理。
該定理可以看出,即使完全不相干的光源,經傳播後其輻射場中p1、 p2 兩點之間卻可能有高度的相干性。其原因在於,雖然光源面上兩點互不相關,但在觀察點p1、 p2 處的光振動分別有來自光源上同一點振動的貢獻。圓形光源和狹縫光源的空間相干性就是兩個典型的例子。
部分相干光的干涉特性
實際的光源由於不僅有一定的限度,而且具有一定的譜寬,因而總是部分相干。
復相干度是:光源相干性的量度,表示相干部分所占總強度的比例。
觀察部分相干光的干涉時,其條紋的對比度與光源尺度和頻譜寬度有關。
(1)完全相干光:條紋對比度等於1;
(2)完全不相干光 :條紋對比度等於0;
(3)部分相干光:條紋對比度在0~1。
干涉條紋的定域性
定域就是某個一定的區域,非定域就是空間任何區域。
兩個單色相干點源(雙縫干涉)發出的光,總有一確定的光程差,從而產生一定的強度分布,並能觀察到清晰的干涉條紋,這種干涉稱為非定域干涉。就是在任何地方都能看到。
在擴展光源的情況下(一個光源,但是,不是點光源,可以看作是很多點光源的集合),由光源上不同的點出發的光線到達空間的該點,產生雙光束干涉的兩支相干光的光程差不同。在光程差變化大於四分之波長的區域觀察不到干涉條紋,小於四分之波長的區域,儘管採用了擴展光源,仍可觀察到清晰干涉條紋.可觀察到清晰干涉條紋的區域稱為定域區。
雷射的相干性
光源的時間相干性體現為其單色性,即所發射光子頻率的離散程度。其具體數值指標為譜線寬度,其值越小說明發射光子頻率的離散程度越小,光源的單色性越好,其時間相干性越好。
(1)理想的雷射是一個純單色振盪,即只有一個頻率的光能滿足諧振條件,其產生的廣場可表示為:
空間相干由於各種線寬加寬效應,使得單縱模雷射具有一定的譜寬。(He-Ne雷射器其譜寬約為106Hz)
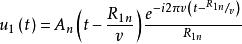
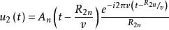
(2)很多雷射器都輸出多縱模,其產生的場可表示為:
空間相干即使對多縱模的雷射,其頻譜任很窄。
普通單色光源的譜線寬度的數量級為千分之幾納米到幾納米,而雷射的譜線寬度只有10-9nm甚至更小,因此,雷射的時間相干性要遠遠優於普通單色光源。
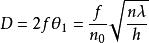
光源的空間相干性體現為光源的大小對相干性的影響。由於從普通光源的不同部位發出的光是不相干,因此光源的大小必然影響到其相干性。
空間相干此來衡量光源的空間相干性。由於雷射光源各處發出的光都是相干的,所以雷射光源的光場減小了相干間隔的限制,這也是雷射具有強相干性的原因之一。
雷射的空間相干性主要取決於其橫模的結構,即輸出光束在空間的分布。
空間相干對於多橫模結構的雷射器,相當於多個光源的組合,其頻率、偏振及位置各不相同,因而彼此不相干。但每個橫模各自都分別是良好的相干光源,在其整個橫截面內都是空間相干的。

