簡介
空氣污染指數 空氣污染指數是評估空氣品質狀況的一 組數字,它能告訴您今天或明天您呼吸的空氣是清潔的還是受到污染的,以及您應當注意的健康問題。空氣污染指數關注的是吸入受到污染的空氣以後幾小時或幾天內人體健康可能受到的影響。空氣污染指數劃分為0-50、51-100、101-150、151-200、201-300和大於300六檔,對應於空氣品質的六個級別,指數越大,級別越高,說明污染越嚴重,對人體健康的影響也越明顯。
分級
空氣污染指數是根據空氣環境質量標準和各項污染物的生態環境效應及其對人體健康的影響來確定污染指數的分級數值及相應的污染物濃度限值。空氣品質周報所用的空氣污染指數的分級標準是;
1.空氣污染指數(API)50點對應的污染物濃度為國家空氣品質日均值一級標準;
2.API100點對應的污染物濃度為國家空氣品質日均值二級標準;
3.API200點對應的污染物濃度為國家空氣品質日均值三級標準;
4.API更高值段的分級對應於各種污染物對人體健康產生不同影響時的濃度限值。
空氣污染指數為0-50,空氣品質級別為I級,空氣品質狀況屬於優。此時不存在空氣污染問題,對公眾的健康沒有任何危害。
空氣污染指數為51-100,空氣品質級別為Ⅱ級,空氣品質狀況屬於良。此時空氣品質被認為是可以接受的,除極少數對某種污染物特別敏感的人以外,對公眾健康沒有危害。
空氣污染指數為101-150,空氣品質級別為Ⅲ⑴級,空氣品質狀況屬於輕微污染。此時,對污染物比較敏感的人群,例如兒童和老年人、呼吸道疾病或心臟病患者,以及喜愛戶外活動的人,他們的健康狀況會受到影響,但對健康人群基本沒有影響。
空氣污染指數為151-200,空氣品質級別為Ⅲ⑵級,空氣品質狀況屬於輕度污染。此時,幾乎每個人的健康都會受到影響,對敏感人群的不利影響尤為明顯。
空氣污染指數為201-300,空氣品質級別為Ⅳ級,空氣品質狀況屬於中度重污染。此時,每個人的健康都會受到比較嚴重的影響。
空氣污染指數大於300,空氣品質級別為V級,空氣品質狀況屬於重度污染。此時,所有人的健康都會受到嚴重影響。
空氣污染指數的預測可以在嚴重的空氣污染情況出現前,提醒市民大眾,特別是那些對空氣污染敏感的人士,如患有心臟病或呼吸系統毛病者,在必要時採取預防措施。
計算公式
指標解釋和計算公式 空氣污染指數(API)是一種反映和評價空氣品質的數量尺度方法,就是
空氣污染指數
空氣污染指數[評估空氣品質狀況的一組數字] 將常規監測的幾種空氣污染物濃度簡化成為單一的概念性指數數值形式,並分級表征空氣污染程度和空氣品質狀況。中國計入空氣污染指數的項目暫定為:二氧化硫、氮氧化物和總懸浮顆粒物。當某種污染物濃度 時,其污染分指數
空氣污染指數[評估空氣品質狀況的一組數字]
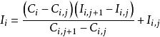
空氣污染指數[評估空氣品質狀況的一組數字] 式中: 是第i 種污染物的污染分指數;
空氣污染指數[評估空氣品質狀況的一組數字] 是第i 種污染物的濃度值;
空氣污染指數[評估空氣品質狀況的一組數字] 是第i 種污染物j 轉折點的污染分項指數值;
空氣污染指數[評估空氣品質狀況的一組數字]
空氣污染指數[評估空氣品質狀況的一組數字] 是第j 轉折點上i種污染物(對應於 )濃度值;
空氣污染指數[評估空氣品質狀況的一組數字]
空氣污染指數[評估空氣品質狀況的一組數字] 是第j+1轉折點上i種污染物(對應於 )濃度值;
各種污染參數的污染分指數都計算出以後,取最大者為該區域或城市的空氣污染指數API
空氣污染指數[評估空氣品質狀況的一組數字] 質量及標準
空氣是指包圍在地球周圍的氣體,它維護著人類及生物的生存。對人類及生物生存起重要作用的是距地面12公里以內的空氣層,也就是對流層。清潔的空氣是由氮78.06%、氧20.95%、 氬氣0.93%等氣體組成的,這三種氣體約占空氣總量99.94%,其它氣體總和不到千分之一。但是,隨著工業及交通運輸業的不斷發展,大量的有害物質被排放到空氣中,改變了空氣的正常組成,使空氣品質變壞。當我們生活在受到污染的空氣之中時,健康就會受到影響。為了改善環境空氣品質,防止生態破壞,創造清潔適宜的
空氣污染指數 環境,保護人體健康,根據《中華人民共和國環境保護法》和《中華人民共和國大氣污染防治法》制定了《環境空氣品質標準》(GB3095-2012)。這個標準規定了環境空氣品質功能區劃分、標準分級、主要污染物項目和這些污染物在各個級別下的濃度限值等,是評價空氣品質好壞的科學依據。它將有關地區按功能劃分為二種類型的區域:一類區為自然保護區、林區、風景名勝區和其它需要特殊保護的地區,二類區為城鎮規劃中確定的居住區、商業交通居民混合區、文化區、一般工業區和農村地區、特定工業區。環境空氣品質標準也分為二級,一類區執行一級標準,二類區執行執行二級標準。衡量某個區域的空氣品質達到幾級標準主要就是看這個地方空氣中各種污染物如總懸浮顆粒物、二氧化硫、氮氧化物的濃度達到幾級標準。
根據國務院環境保護委員會第三屆第十次會議的決定,從1997年6月開始,中國47個重點城市將陸續分批開展空氣品質周報工作。什麼是空氣品質周報呢?環境監測部門根據環境保護法規的要求,對國家空氣品質標準中規定的幾種主要污染物已經開展了長期的例行監測,以掌握和評價城市空氣品質狀況和污染變化趨勢。開展空氣品質周報就是對一周的空氣品質進行回顧性的評價,並以空氣污染指數的表征形式定期向社會發布,為公眾提供及時、準確的環境信息。隨著環境監測工作的發展通過建設現代化的城市空氣品質自動監測系統,今後空氣品質周報還將發展為空氣品質日報,並進而實現空氣污染預報,使得有關部門和廣大公眾對城市的空氣品質情況做到象天氣預報一樣事先“早知道”,從而對可能出現的空氣污染採取及時、有效的防範措施。”
常見污染物及危害
懸浮顆粒物
空氣中可自然沉降的顆粒物稱降塵,而懸浮在空氣中的粒徑小於100微米的顆粒物通稱總懸浮顆粒物(TSP),其中粒徑小於10微米的稱可吸入顆粒物(PM10)。可吸入顆粒物因粒小體輕,能在大氣中長期飄浮,飄浮範圍從幾公里到幾十公里,可在大氣中造成不斷蓄積,使污染程度逐漸加重。可吸入顆粒物成份很複雜,並具有較強的吸附能力。例如可吸附各種金屬粉塵和強致癌物苯並(a)芘、吸附病源微生物等。
可吸入顆粒物隨人們呼吸空氣而進入肺部,以碰撞、擴散、沉積等方式滯留在呼吸道不同的部位,粒徑小於5微米的多滯留在上呼吸道。滯留在鼻咽部和氣管的顆粒物,與進入人體的二氧化硫(SO)等有害氣體產生刺激和腐蝕黏膜的聯合作用,損傷黏膜、纖毛,引起炎症和增加氣道阻力。持續不斷的作用會導致慢性鼻咽炎、慢性氣管炎。滯留在細支氣管與肺泡的顆粒物也會與二氧化氮等產生聯合作用,損傷肺泡和黏膜,引起支氣管和肺部產生炎症。長期持續作用,還會誘發慢性阻塞性肺部疾患並出現繼發感染,最終導致肺心病死亡率增高。
氮氧化物
一氧化氮、二氧化氮等氮氧化物是常見的大氣污染物質,能刺激
空氣污染指數 呼吸器官,引起急性和慢性中毒,影響和危害人體健康。氮氧化物中的二氧化氮毒性最大,它比一氧化氮毒性高4-5倍。大氣中氮氧化物主要來自汽車廢氣以及煤和石油燃燒的廢氣。
氮氧化物主要是對呼吸器官有刺激作用。由於氮氧化物較難溶於水,因而能侵入呼吸道深部細支氣管及肺泡,並緩慢地溶於肺泡表面的水分中,形成亞硝酸、硝酸,對肺組織產生強烈的刺激及腐蝕作用,引起肺水腫。亞硝酸鹽進入血液後,與血紅蛋白結合生成高鐵血紅蛋白,引起組織缺氧。在一般情況,當污染物以二氧化氮為主時,對肺的損害比較明顯,二氧化氮與支氣管哮喘的發病也有一定的關係;當污染物以一氧化氮為主時,高鐵血紅蛋白症和中樞神經系統損害比較明顯。
空氣中二氧化氮濃度與人體健康密切相關,曾發生過因短時期暴露在高濃度二氧化氮中引起疾病和死亡的情況。如1929年5月15日,在克里夫蘭的克里爾醫院發生的一次火災中,有124人死亡,死亡的直接原因就是由於含有硝化纖維的感光膠片著火而產生大量的二氧化氮所致。
二氧化硫
二氧化硫是一種常見的和重要的大氣污染物,是一種無色有刺激性的氣體。二氧化硫主要來源於含硫燃料(如煤和石油)的燃燒;含硫礦石(特別是含硫較多的有色金屬礦石)的冶煉;化工、煉油和硫酸廠等的生產過程。
二氧化硫對人體的危害是:
1、刺激呼吸道。二氧化硫易溶於水,當其通過鼻腔、氣管、支氣管時,多被管腔內膜水分吸收阻留,變成亞硫酸、硫酸和硫酸鹽,使刺激作用增強。
2、二氧化硫和懸浮顆粒物的聯合毒性作用。二氧化硫和懸浮顆粒物一起進入人體,氣溶膠微粒能把二氧化硫帶到肺深部,使毒性增加3-4倍。此外,當懸浮顆粒物中含有三氧化二鐵等金屬成分時,可以催化二氧化硫氧化成酸霧,吸附在微粒的表面,被代入呼吸道深部。硫酸霧的刺激作用比二氧化硫約強10倍。
3、二氧化硫的促癌作用。動物實驗證明10mg/m的二氧化硫可加強致癌物苯並(a)芘的致癌作用。在二氧化硫和苯並(a)芘的聯合作用下,動物肺癌的發病率高於單個致癌因子的發病率。
此外,二氧化硫進入人體時,血中的維生素便會與之結合,使體內維生素C的平衡失調,從而影響新陳代謝。二氧化硫還能抑制和破壞或激活某些酶的活性,使糖和蛋白質的代謝發生紊亂,從而影響機體生長發育。
一氧化碳
一氧化碳是一種無色、無味、無臭、無刺激性的有毒氣體,幾乎不溶於水,在空氣中不容易與其它物質產生化學反應,故可在大氣中停留很長時間。如局部污染嚴重
空氣污染指數 ,可對健康產生一定危害。一氧化碳屬於內窒息性毒物。空氣中一氧化碳濃度到達一定高度,就會引起種種中毒症狀,甚至死亡。一氧化碳是煤、石油等含碳物質不完全燃燒的產物。一些自然災害如火山爆發、森林火災、礦坑爆炸和地震等災害事件,也能造成局部地區一氧化碳的濃度增高。吸菸也被認為是一氧化碳污染來源之一。
隨空氣進入人體的一氧化碳,在經肺泡進入血液循環後,能與血液中的血紅蛋白(Hb)等結合。一氧化碳與血紅蛋白的親和力比氧與血紅蛋白的親和力大200-300倍,因此,當一氧化碳侵入機體後,便會很快與血紅蛋白合成碳氧血紅蛋白(COHb),阻礙氧與血紅蛋白結合成氧合血紅蛋白(HbO),造成缺氧形成一氧化碳中毒。當吸入濃度為0.5%的一氧化碳,只要20-30分鐘,中毒者就會出現脈弱,呼吸變慢,最後衰竭致死。這種急性一氧化碳中毒,常發生在車間事故和家庭取暖不慎時。
長時間接觸低濃度的一氧化碳對人體心血管系統、神經系統乃至對後代均有一定影響。
光化學煙霧
光化學煙霧是排入大氣的氮氧化物和碳氫化物受太陽紫外線作用產生的一種具有刺激性的淺藍色的煙霧。它包含有臭氧(O)、醛類、硝酸酯類(PAN)等多種複雜化合物。這些化合物都是光化學反應生成的二次污染物,主要是光化學氧化劑。當遇逆溫或不利於擴散的氣象條件時,煙霧會積聚不散,造成大氣污染事件,使人眼和呼吸道受刺激或誘發各種呼吸道炎症,危機人體健康。這種污染事件最早出現在美國洛杉磯,所以又稱洛杉磯光化學煙霧。20世紀末開始,光化學煙霧不僅在美國出現,而且在日本的東京、大板、川崎市,澳大利亞的悉尼、義大利的熱那亞和印度的孟買等許多汽車眾多的城市都先後出現過。
大氣中的氮氧化物和碳氫化物主要來自汽車尾氣、石油和煤燃燒的廢氣、及大量使用揮發性有機溶劑等。在太陽紫外線的作用下,產生化學反應,生成臭氧和醛類等二次污染物。在光化學反應中,臭氧約占85%以上。日光輻射強度是形成光化學煙霧的重要條件,因此在一年中,夏季是發生光化學煙霧的季節;而在一日中,下午2時前後是光化學煙霧達到峰值的時刻。光化學氧化劑可由城市污染區擴散到100公里甚至700公里以外。在汽車排氣污染嚴重的城市,大氣中臭氧濃度的增高,可視為光化學煙霧形成的信號。
光化學煙霧對人體最突出的危害是刺激眼睛和上呼吸道黏膜,引起眼睛紅腫和喉炎,這可能與產生的醛類等二次污染物的刺激有關。光化學煙霧對人體的另一些危害則與臭氧濃度有關。當大氣中臭氧的濃度達到200-1000微克/米3時,會引起哮喘發作,導致上呼吸道疾患惡化,同時也刺激眼睛,使視覺敏感度和視力降低;濃度在400--1600微克/米3時,只要接觸兩小時就會出現氣管刺激症狀,引起胸骨下疼 痛和肺通透性降低,使機體缺氧;濃度再高,就會出現頭痛,並使肺部氣道變窄,出現肺氣腫。接觸時間過長,還會損害中樞神經,導致思維紊亂或引起肺水腫等。臭氧還可引起潛在性的全身影響,如誘發淋巴細胞染色體畸變、損害酶的活性和溶血反應,影響甲狀腺功能、使骨骼早期鈣化等。長期吸入氧化劑會影響體內細胞的新陳代謝,加速衰老
預防光化學煙霧要採取一系列綜合性的措施,其中包括制定法規,監測廢氣排放,改良汽車排氣系統和提高汽油質量及減少揮發性有機物如油漆、塗料的使用等。
預報
尋找一個有效的空氣品質預報方法,對氣象和環保部門進一步開展空氣污染物的預報工作是很有意義的。馬氏鏈是機率統計工作中,對某一系統所處各個狀態之間的動態轉移規律進行研究的方法。少數空氣品質預報部門已經將該概念引入空氣污染物的定性預報中。但在套用過程中,沒有考慮天氣背景對污染物擴散的影響,方法過於簡單,難以在實際業務工作中精確描述空氣品質狀況的演變過程。馬氏鏈模型在以往天氣現象的出現、天氣過程的持續以及天氣形勢的轉變等研究工作中已經取得了較好的結果。借鑑這一數學模型,結合天氣演變,對實際工作中空氣污染物的預報問題進行深入探討。
如今,很多人每天出門前除了關心天氣狀況外,又多了一項關心的新指標,那就是空氣污染狀況。我們每天看到的空氣污染監測值正是基於預報系統模擬測算出來的,除了那些極端情況,霧霾預報的準確率到底有多高,怎樣才能提高準確性,讓預報預警更好地為應對工作爭取更多時間?科技日報記者走訪了相關專家。
中國氣象科學研究院副院長張小曳告訴記者:“霾的核心物質是空氣中懸浮的乾塵粒,也就是乾氣溶膠粒子,而由於在實際的大氣中沒有氣溶膠粒子作為雲霧的凝結核就無法形成雲霧,所以霧和霾的背後都與氣溶膠粒子有關。”也就是說和天氣預報一樣,空氣污染預報也是基於一定的模型,在模擬系統里進行。它也同樣存在著穩定性差異、預報準確率差異等。
“國際上現有氣溶膠模擬與空氣品質預報模型有一類是離線的,缺少氣溶膠與氣象場之間的相互作用,這樣的模型就沒有線上的準確;預報模型中還有一個重要的部分就是將氣溶膠分不同的粒度檔模擬,這樣才有利於模擬出氣溶膠與雲霧的相互作用。”基於對國外現有模型的研究和分析,張小曳團隊建立了我國自主研發的預報模型,它規避了離線模型的弊端,整合了分檔模型的優勢,在全國範圍內正式投入使用。
自上世紀八十年代末開始張小曳就一直致力於氣溶膠的研究,是我國較早從事氣溶膠研究的科學工作者之一。在科技部973計畫項目的支持下,他所領導的團隊先後承擔了“氣溶膠及其氣候效應”和“氣溶膠、雲、輻射反饋、亞洲季風研究”兩個項目。
所研發出的數值預報模型在2012年秋天正式在中央氣象台做全國範圍內的霧霾業務預報,結合中央氣象台常規天氣學方面的預報,二者有效結合向全國發布霧霾預報。今天,我們打開中央氣象台網頁,看到的就是這個預報結果。
治理方法
治理密閉空間空氣污染的方法
1、自然通風;靠噴灑物捕捉或遮蓋;靠吸附物吸附幾種方法。1.自然通風法:立竿見影,行之有效。但有局限性。如會受到室外污濁空氣的侵入,也會因雨天,冷天,熱天而無法實現。
2、用噴灑物捕捉或遮蓋:用噴灑物噴灑時雖能夠捕捉到一些游離在空氣中的有害氣體分子,而當不噴灑時釋放在空氣中的有害氣體則無法被清除掉;用遮蓋物遮蓋時(如一些噴灑或塗抹在家具,牆壁上的產品,有可能會將甲醛苯等有害氣體封在牆體或家具的內部.表面上是減少了有害氣體的排放,但當外界因素使封堵堵膜裂開時,被封堵在內部的有害氣體反而會以更高的濃度向外釋放。這是值得消費者高度警覺的.另外,噴灑物還會給家具等造成不同程度的損壞。
3、用空氣淨化炭進行吸附:空氣淨化炭採用的是將有毒有害氣體持續吸附的原理,在不需要外加動力的的情況下即能對有毒有害氣體進行清除。
對人體沒有任何因二次污染所造成的傷害;其次對家具也不會造成損害,同時還能避免空氣淨化機類產品的噪聲和電磁波對人體健康的傷害。
防止空氣污染的方法
事實是,人類活動造成空氣污染。考慮到空氣污染的有害影響,在任何時候都是非常重要的,每個人都應該貢獻一點,以防止空氣污染。有一定的方法之一,可以幫助減少空氣污染物的排放在大氣中的。以下是防止空氣污染的一些技巧:
汽車池:形成和實施汽車池汽車數量將減少,從而減少對化石燃料的使用,防止空氣污染。通過這種方式,這將有助於在化石燃料和為子孫後代保護的可持續利用。
汽車護理:車及時的服務,有助於保持了良好的條件,也最大限度地減少燃料廢氣。平均的速度駕駛汽車和關閉在交通是一個關鍵的節省燃油。確保使用無鉛汽油,並選擇你的車經常污染檢查。
公共運輸:只要有可能,儘量乘坐公共運輸工具。這有助於在兩個方面;防止空氣污染和增加公共收入。如果您打算到附近的地方,步行或使用腳踏車,而不是使用您的車輛。目的是減少燃料的使用,儘可能。
替代能源:防止空氣污染的另一個有效途徑是使用替代能源,如太陽能,水電和風能。如今,先進的技術,如風力渦輪機,太陽能熱水器,家庭使用產生的電力和其他能源形式。
節能:節約能源,當然,有利於防止空氣污染。關掉燈,風扇,空調,電視,等家電產品,在不使用時。您還可以與他人共用一個房間,當空調或風扇上,而不是他們在每個房間的開關上。
減少空氣污染物:始終儘量減少黑煙排放,因為它可以造成空氣污染。一種方式是堆肥乾樹葉和廚房垃圾,而不是燃燒。堆肥也會給你你的花園裡的有機肥。購買產品時,總是選擇空氣環保且可再生的產品,這將最大限度地減少污染物的排放。
有關空氣污染的社會意識,是大氣污染防治要採取的最重要的一步。意識方案和/或廣告,應予以鼓勵,使人們了解空氣污染對健康的潛在危害。改善交通設施和社會效益而適當的土地使用空氣污染控制同樣重要。
各國標準
世界衛生組織2005年最新出版的《空氣品質準則》尤其是對大氣中可吸入顆粒物的濃度限值制定了嚴格的標準。WHO規定PM2.5年平均濃度為10微克/立方米(μg/m),24小時平均濃度為25μg/m。
中國採用的空氣污染指數(API)並沒有對PM2.5進行監控,監測的可吸入顆粒物是PM10。一般而言,粒徑2.5微米至10微米的粗顆粒物主要來自道路揚塵等;2.5微米以下的細顆粒物(PM2.5)則主要來自化石燃料的燃燒(如機動車尾氣、燃煤)、揮發性有機物等。事實上在中國大部分,特別是工業集中的華北地區,PM2.5占到了整個空氣懸浮顆粒物重量的大半。然而,中國的“影響空氣污染指數”(API)卻沒有把PM2.5納入監測之列。而中國現行的空氣品質監測標準2000年頒布至今,已經沿用十年而沒有修訂了。
2012年2月29日,國務院總理溫家寶主持召開國務院常務會議,同意發布新修訂的《環境空氣品質標準》。新標準增加了細顆粒物(PM2.5)和臭氧(O)8小時濃度限值監測指標。這是中國首次將PM2.5納入空氣品質標準,也是首次由國務院通過的環境空氣品質標準。
(一)分期實施新標準的時間要求
2012年,京津冀、長三角、珠三角等重點區域以及直轄市和省會城市;
2013年,113個環境保護重點城市和國家環保模範城市;
2015年,所有地級以上城市;
2016年1月1日,全國實施新標準。
美國作為世界碳排放第二大國,2006年主動將PM2.5的24小時標準由65μg/m升為35μg/m;PM2.5的年標準仍為原來的15μg/m。在美國已經建立起了關於細顆粒物的日常監測和公眾通報制度。
