定義
變壓器由兩個具有互感的線圈構成,一個線圈接向電源,另一線圈接向負載。變壓器是通過互感來實現從一個電路向另一個電路傳輸能量或信號的器件。當變壓器線圈的芯子為非鐵磁材料時,稱空心變壓器。
電路模型與電源相接的迴路稱為原邊迴路(或初級迴路),與負載相接的迴路稱為副邊迴路(或次級迴路)。
空心變壓器電路電路連線
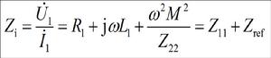
端接負載空心變壓器一端接負載可以等效為一個阻抗。
空心變壓器端接負載電路圖式中Z11=R1+jwL1是初級迴路阻抗,Zref是次級迴路在初級迴路的反映阻抗。
空心變壓器端接負載等效阻抗若改變圖電路中同名端位置,則式中M 前的符號要改變。但不會影響輸入阻抗、反映阻抗和等效電路。端接電源
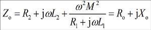
空心變壓器一端接電源等效為一個電壓源與電阻串聯。
空心變壓器端接電源電路圖其中等效電壓源電壓為:
空心變壓器端接電源等效電壓
空心變壓器端接電源等效阻抗