簡介
在晶體中,空位並非固定不變,它處於不斷的產生和消失過程中,在晶體中,空位的數量通常用“空位濃度”衡量。指的是晶體中空位總數和結點總數的比值。根據統計熱力學原理。空位濃度決定於溫度,一定的溫度對應於一定的平衡空位濃度。空位可以是在材料生產過程中形成,也可以是有其他離子或電子注入形成。
定律定義
空位濃度
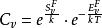
空位濃度在熱平衡狀態下,溫度為T時,空位的份額濃度為,其中,k是玻爾茲曼常數;表示空位的附加熵;表示空位的形成能。
空位濃度
空位濃度在離子注入材料形成空洞時,空洞表面的空位濃度可以表示為 ,表示氣泡的平衡濃度;p表示氣泡的壓力;表示氣泡的表面能;r為氣泡的半徑;T為溫度;k為波爾茲曼常數;是點陣原子的體積。
