簡介
流體流動途徑所有各點的狀況都相等,且不隨時間而變化,即所有質量和能量的流率均為常量,系統中沒有物料和能量的積累,稱為穩定狀態流動過程。
工作過程
穩定狀態流動過程
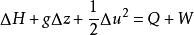
穩定狀態流動過程pV稱為“流動功”,流動所做功是軸功和淨流動功之和。
穩定狀態流動過程
穩定狀態流動過程
穩定狀態流動過程在熱力學的許多套用中,動能和勢能與其他能量相比是比較小的,若略去不計,可得
穩定狀態流動過程可逆軸功表達式為:
穩定狀態流動過程
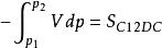
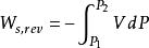
功在p-V圖上的表示
穩定狀態流動過程可逆體積功:
穩定狀態流動過程可逆軸功:
舉例
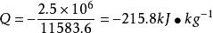
將90℃的熱水,以12m /h速率從儲罐1輸送到高度為15m的儲罐2,熱水泵的電動機功率為1.5kW,並且熱水經過一個冷卻器,放出熱量的速率為2.5×106kJ/h .試問:儲罐2的水溫度是多少?
解:此例題是穩定狀態流動過程式的套用,水在儲罐的流動速度很慢,可以忽略動能變化,其他能量項單位為kJ·kg 。
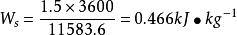
從水性質表中可查得,90℃時水的密度為965.3kg·m ,則水的質量流率為965.3×12=11583.6kg·h
得到放出的熱量:
穩定狀態流動過程軸功:
穩定狀態流動過程勢能:
穩定狀態流動過程將上述各項代入穩定狀態流動過程式得:
穩定狀態流動過程從飽和水性質表中可查得90℃時飽和液體的焓:
穩定狀態流動過程
穩定狀態流動過程再從飽和水性質表中可內插查到此時的溫度約為38.5℃。
穩定狀態流動系統的熵平衡
基本知識
熵增原理:自發過程的不可逆過程只能向著總熵增加的方向進行,最終趨向平衡態。此時總熵變達到最大值,即△St=0達到了過程的終點。
在封閉系統中進行的任何過程:
穩定狀態流動過程
穩定狀態流動過程對孤立系統, 。 ≥0。
熵產:系統在不可逆過程中,有序的能量耗散為無序的熱能(如摩擦等),並為系統吸收而導致系統熵的增加,這部分熵稱為熵產生,記為△Sg。
穩定狀態流動過程
穩定狀態流動過程熵流:若有熱量流入或流出系統,則必定伴有相應的熵變化,記為△S或dS。
穩定狀態流動過程熵流可為正、為負、為零。
敞開體系熵平衡簡圖
穩定狀態流動過程對穩定狀態流動過程,系統熵的累積為0:
穩定狀態流動過程