定義
稀疏光流
稀疏光流
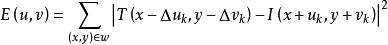
稀疏光流稀疏光流是一類專門針對圖像上稀疏的點進行圖像配準的方法,也就是在參考圖上給定若干個點(一般為角點),找到其在當前圖像中的對應點。用數學的語言描述就是,給定參考圖T和當前圖I,計算參考圖T中的一個角點 在當前圖I中對應的點 ,其中 就是角點的偏移量。如果以當P點和Q點為中心的兩個小矩形視窗內的所有點都相同,那么就表示這兩個點是匹配的。
目標函式
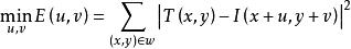
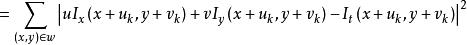
在實際的圖像數據中,由於有噪聲的存在,兩個對應點所在的小矩形視窗內的像素點不可能完全相同,因此可以考慮取其差異最小的一個位置為匹配點,也就求解如下目標函式:
稀疏光流
稀疏光流
稀疏光流
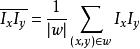
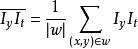
稀疏光流其中 是一個以 為中心, 為半徑的矩形視窗。
標準解法
上式可以用非線性最小二乘法進行求解,為了加速同時也為了計算大偏移量,一般使用圖像金字塔的方法來求解。其基本思想就是在小圖上先算出一個初始值,然後將這個初始值乘2作為下一層的初始值,這樣每層只需要疊代很少的步驟就可以收斂。具體計算每一層使用的算法是高斯牛頓法,具體做法如下:
將後一項進行一階Taylor展開得到:
稀疏光流
稀疏光流
稀疏光流將上式帶入目標函式可以得到:
稀疏光流
稀疏光流
稀疏光流其中:
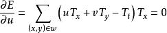
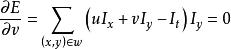
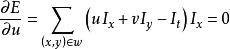
稀疏光流對 求偏導數可以得到:
稀疏光流
稀疏光流為了書寫方便,重新定義以下符號:
稀疏光流
稀疏光流
稀疏光流, ,
稀疏光流
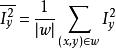
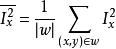
稀疏光流,
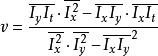
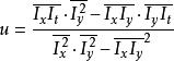
由此不難得到二元一次方程組:
稀疏光流
稀疏光流
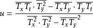
稀疏光流解出 即可得到偏移量。
稀疏光流
稀疏光流
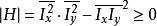
稀疏光流根據柯西不等式, 恆成立,只有當兩向量平行時才會取到等號,此時對應的圖像為純色或者只有單一的直線邊緣,因此一般要求特徵點為角點,這樣可以保證分母恆大於0.
逆向解法
稀疏光流
稀疏光流
稀疏光流以上的解法為Lucas–Kanade光流(簡稱LK光流)的標準流程 ,由於在第一步做Taylor展開的時候,針對的是當前圖像 ,而待求變數 也在 中,因此也被稱為正向解法。這種求解方法比較直接,但是在疊代計算的時候每次都需要重新對梯度圖像進行插值計算,算法性能較慢。
針對上面的問題,Baker提出了一種逆向混合算法 ,其基本思想就是將增長變數與疊代變數分別置於兩個函式中,這樣對增長變數做Taylor近似的時候,其所在的函式不含有疊代變數,因此疊代的過程中不需要重新插值計算梯度圖像。
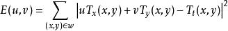
考察目標函式中的誤差函式:
稀疏光流
稀疏光流
稀疏光流
稀疏光流
稀疏光流
稀疏光流
稀疏光流上式中 為疊代變數, 為增長變數,用 進行變數替換可以得到: ,由於每次的增長量 比較小,所以可以近似認為變換後的求和區間沒有變化,也就是 ,因此可以將原始目標函式寫為如下形式:
稀疏光流採用高斯牛頓法可以得到最終的二次形式:
稀疏光流
稀疏光流其中:
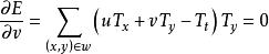
稀疏光流對 求偏導數可以得到:
稀疏光流
稀疏光流
稀疏光流由此可以解出 得到:
稀疏光流
稀疏光流
稀疏光流
稀疏光流
稀疏光流
稀疏光流
稀疏光流
稀疏光流不難看出,上面的公式與標準解法的公式非常相似,僅僅是把 換成了 ,但還有一個隱含的不同點,那就是計算平均值的時候,標準算法是對 的求和,這樣每次疊代的時候都需要重新對梯度圖像進行插值計算;而逆向算法是對 的求和,與 無關,因此在疊代的過程中除了含有 的項需要重新計算,其他項都是不變的,這樣可以大大的減少計算量 。

