簡單移動平均控制圖
計算移動平均
移動平均控制圖
移動平均控制圖移動平均控制圖是對控制圖的一種修正方法,設從工序順次抽取的一系列大小為n的樣本算出的平均值為 ,簡單移動平均控制圖使用移動平均作控制變數。時間t間距為w的移動平均規定為
移動平均控制圖
移動平均控制圖
移動平均控制圖這就是說,當 時,計算各移動平均,只須依次去掉最前面數據,加上新的數據,再除以w,逐步向前推移;當 時,幾個數相加就除幾 。
控制限計算
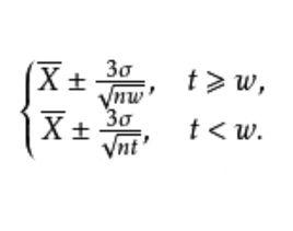
簡單移動平均控制圖的上下控制限為
移動平均控制圖
移動平均控制圖
移動平均控制圖
移動平均控制圖其中, 已知時,直接代入; 未知時,用估計值代替。這裡的上下控制限,當 時,在圖上是兩條直線;當t<w時,則是兩條曲線,合起來形成一喇叭形 。
幾何移動平均控制圖
指數加權移動平均
幾何移動平均控制圖又叫指數加權移動平均控制圖。幾何移動平均圖的控制變數使用樣本均值的指數加權移動平均
移動平均控制圖
移動平均控制圖
移動平均控制圖其中,r為加權係數,0<r<1,通常取為 ,n為樣本大小。這裡的控制變數 使用了現在數據也利用了過去信息,而且採取“厚今薄古”方式加以組合:現在樣本均值有最大加權係數,過去樣本均值按相反次序呈幾何級數遞減加權,第一個樣本均值加權係數最小。連續累積工序隱含著的小的變化,將各個不同階段獲取的數據結合起來分析,能儘快發現異常,特別是小偏移 。
控制限
指數加權移動平均圖的控制限為
移動平均控制圖
移動平均控制圖
移動平均控制圖
移動平均控制圖
移動平均控制圖通常, 以工序正常時的 估計, 當n較小(<10)時以 估計,n較大(≥10)時,以樣本標準差S估計。
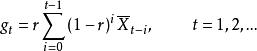
控制變數g按下式逐步計算
移動平均控制圖作圖、判斷與通常控制圖相似 。

