基本概念
礦山企業隨著其採礦生產的進行,其可供開採的資源儲量將不斷減少,直至可采儲量枯竭、礦山關閉 。礦山服務年限是指一個礦山從投產到關閉的時間周期 。實踐中,礦床 (儲量 )規模 、礦石質量 、市場需求狀況和礦山企業投資效益目標等因素共同決定著礦山規模與礦山服務年限之間的經濟合理組合 。
計算方法
金屬礦種
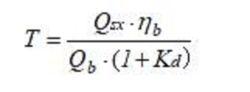
計算公式:
礦山服務年限式中: T—礦山服務年限;
A—礦山生產能力;
Q—可采儲量;
ρ—礦石貧化率。
上式中的礦石貧化率原為廢石混入率,由於混入廢石的品位一般較低,且具體數值不易確定,為簡化計算故常用礦石貧化率代替廢石混入率。
化工、建材等對礦石品位有指標要求的礦產,也可使用上述公式 。
非金屬礦種
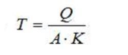
計算公式:
礦山服務年限其中煤礦:
礦山服務年限式中: T—礦山服務年限;
A—礦山生產能力;
Q—可采儲量;
K—儲量備用係數。
儲量備用係數取值及其說明同前敘(生產能力估算方法)。
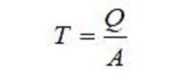
石材礦
按荒料計:
礦山服務年限按板材計:
礦山服務年限式中: T—礦山服務年限;
Q—石材礦荒料可采儲量;
Q—年生產的荒料量;
Q—年生產板材量;
K—吊裝運輸損失係數, K=1%~2%;
η—板材率。
石料礦
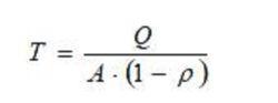
石料(如石灰岩、白雲岩等)生產能力採用體積表示時,計算公式為:
礦山服務年限式中: T-礦山服務年限;
Q-石料可采儲量;
K-地質影響係數;
β-鬆散係數;
A―石料生產能力。
延長主要途徑
礦山服務年限與礦山資源儲量 、生產規模和資源綜合回收率直接相關,由此可見,延長礦山服務年限的主要途徑有如下4種。
第一、加強礦山周邊、深部的地質找礦工作,獲取新增工業礦量 ,這是最重要、最有效的手段。如凡口鉛鋅礦自 1990年至今,共探獲鉛鋅金屬量 211.23萬 t。按 2008年礦山17萬 t鉛鋅金屬生產能力和2000~ 2008年鉛鋅採選綜合回收率 89%計算,可延長礦山服務年限 11 a。根據有色金屬礦產地質調查中心 2002年的調研, 所調研危機礦山中 ,占總數58%的礦山有接替資源找礦潛力 。這也充分說明老礦山通過周邊、深部的地質找礦,延長礦山服務年限的可行性 。
第二、挖掘企業內部潛力,提高礦山企業的生產技術和管理水平,由此提高資源回收率,延長礦山服務年限。 1981年,凡口鉛鋅礦鉛鋅採選綜合回收率為 81%, 通 過技術和 管理措施, 2008 年提 高到92%,按年產鉛鋅金屬量 15萬 t計算,每一年多回收了鉛鋅金屬 2萬t,回收率提高對延長礦山服務年限的重大意義由此可見 。
第三、搞好礦產資源的綜合回收和綜合利用,充分利用礦山其他資源。許多礦山都有一些在目前技術條件下暫時難以采出利用的資源,如凡口鉛鋅礦的單一黃鐵礦和鉛鋅氧化礦等 。另外,大多數礦山的選廠尾礦也具有一定的工業價值。因此,加大科研投入,有針對性地解決開採 、選礦等技術上存在的問題,輔以合適的市場時機,這部分資源即可實現綜合回收和綜合利用,既給企業帶來效益,又延長礦山服務年限 。
第四、把握國內外市場,依市場變化合理安排企業生產計畫,實現資源效益最大化,同時使礦山服務年限得到適當延長。企業首先應結合經濟周期確立利潤等目標指標,再依據該目標確定金屬量 、礦石量和其它指標。如產品價格走高時,可將利潤目標定高,讓企業按最大能力生產;產品價格走低時,可將利潤目標適當調低,甚至清零維持基本運行,從而儘量減少礦石采出。這樣可使礦產資源充分發揮潛在價值,使企業達到效益最大化,亦可在礦石儲量一定的情況下,延長礦山企業的壽命 。

