簡介
磁碟存儲器是用表面塗有磁性材料的圓盤作為記錄介質的存儲裝置。由盤組、驅動和控制等部分組成。磁碟存儲器不僅容量大,存取速度快,而且可以實現隨機存取,是當前存放大量程式和數據的理想設備,故在現代計算機系統中,都配置了磁碟存儲器,並以它為主來存放檔案。這樣,對檔案的操作,都將涉及到對磁碟的訪問。磁碟檔案訪問是指對存儲在磁碟上的檔案進行訪問。對磁碟檔案訪問影響因素有磁碟訪問時間、磁碟調度。
磁碟訪問時間
磁碟設備在工作時以恆定速率旋轉。為了讀或寫,磁頭必須能移動到所要求的磁軌上,並等待所要求的扇區的開始位置旋轉到磁頭下,然後再開始讀或寫數據。故可把對磁碟的訪問時間分成以下三部分。
尋道時間
這是指把磁臂(磁頭)移動到指定磁軌上所經歷的時間。該時間是啟動磁臂的時間 s 與磁頭移動 n 條磁軌所花費的時間之和,即
磁碟檔案訪問= m × n + s
其中,m 是一常數,與磁碟驅動器的速度有關。對於一般磁碟,m = 0.2;對於高速磁碟m≤0.1,磁臂的啟動時間約為 2 ms。這樣,對於一般的溫盤,其尋道時間將隨尋道距離的增加而增大,大體上是 5~30 ms。
旋轉延遲時間
磁碟檔案訪問
磁碟檔案訪問這是指定扇區移動到磁頭下面所經歷的時間。不同的磁碟類型中,旋轉速度至少相差一個數量級,如軟碟為 300 r/min,硬碟一般為 7200~15 000 r/min,甚至更高。對於磁碟旋轉延遲時間而言,如硬碟,旋轉速度為 15 000 r/min,每轉需時 4 ms,平均旋轉延遲時間為 2 ms;而軟碟,其旋轉速度為 300 r/min 或 600 r/min,這樣,平均為 50~100 ms。
傳輸時間
磁碟檔案訪問這是指把數據從磁碟讀出或向磁碟寫入數據所經歷的時間。的大小與每次所讀/寫的位元組數 b 和旋轉速度有關:
磁碟檔案訪問
磁碟檔案訪問
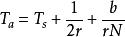
磁碟檔案訪問其中,r 為磁碟每秒鐘的轉數;N 為一條磁軌上的位元組數,當一次讀/寫的位元組數相當於半條磁軌上的位元組數時, 與相同。因此,可將訪問時間 Ta 表示為
磁碟檔案訪問由上式可以看出,在訪問時間中,尋道時間和旋轉延遲時間基本上都與所讀/寫數據的多少無關,而且它通常占據了訪問時間中的大頭。例如,我們假定尋道時間和旋轉延遲時間平均為 20 ms,而磁碟的傳輸速率為 10 MB/s,如果要傳輸 10 KB 的數據,此時總的訪問時間為 21 ms,可見傳輸時間所占比例是非常小的。當傳輸 100 KB 數據時,其訪問時間也只是 30 ms,即當傳輸的數據量增大 10 倍時,訪問時間只增加約 50%。目前磁碟的傳輸速率已達 80 MB/s 以上,數據傳輸時間所占的比例更低。可見,適當地集中數據(不要太零散)傳輸,將有利於提高傳輸效率。
磁碟調度
磁碟是可供多個進程共享的設備,當有多個進程都要求訪問磁碟時,應採用一種最佳調度算法,以使各進程對磁碟的平均訪問時間最小。由於在訪問磁碟的時間中,主要是尋道時間,因此,磁碟調度的目標是使磁碟的平均尋道時間最少。目前常用的磁碟調度算法有先來先服務、最短尋道時間優先及掃描等算法。

