簡述
磁柵檢測技術已有三十餘年的發展歷史,它主要用於磁分度以及齒輪、絲桿傳動鏈誤差的動態測量等方面。尤其是在某些特殊情況或環境比較惡劣的場合下,磁柵檢測技術顯示了它特有的機動性和靈活性。因此,磁柵檢測技術仍是精密檢測技術及數控工具機檢測方面的一個重要手段。
磁柵感測器主要由磁柵和磁頭組成。磁柵上錄有等間距的磁信號,它相當予一把磁尺。磁柵感測器工作時,磁頭相對於磁柵作相對位移。在位移過程中,磁頭把磁柵上的磁信號檢測出來,這樣就把檢測位移轉換成電信號。
結構
磁柵(又稱磁尺)也是一種電磁檢測裝置。它利用磁記錄原理,將一定波長的矩形波或正弦波信號用磁頭記錄在磁性標尺的磁膜上,作為測量基準。檢測時,磁頭將磁性標尺上的磁化信號轉化為電信號,並通過檢測電路將磁頭相對於磁性標尺的位置或位移量用數字顯示出來或轉化為控制信號輸入給數控工具機。
磁柵感測器由磁性標尺、磁頭和檢測電路三部分組成。磁性標尺是在不導磁材料(如玻璃、銅或其他合成材料)的基體上,採用塗敷、化學沉澱或電鍍等方法覆蓋上一層1~2 txrn厚的磁性材料,形成一層均勻的磁性薄膜,然後採用錄磁的方法在磁性薄膜上錄上等距離的周期性的磁化信號。
讀取磁頭是進行磁一電轉換的變換器,它把記錄在磁性標尺上的磁化信號檢測出來送至檢測線路,其原理與錄音磁帶的原理相同。但錄音磁帶的磁頭(稱為速度回響型磁頭)只有和磁帶之間有一定相對運動速度時,才能檢測出磁化信號。這種磁頭只能用於動態測量。而檢測數控工具機位置時,閱讀速度是各種各樣的,在低速甚至靜止時也必須能夠進行閱讀,為此採用磁通回響型磁頭。磁通回響磁頭是在速度回響型磁頭的鐵心迴路中,加入帶有勵磁線圈的飽和鐵心,在勵磁線圈中通以高頻勵磁電流,使讀取線圈的輸出信號振幅受到調製。
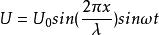
磁尺中勵磁電流在一個周期內兩次過零,兩次出現峰值,相應磁開關通斷各兩次。輸出線圈產生感應電壓輸出,即
磁柵檢測式中:U一感應電壓幅值;
λ—磁性標尺節距;
x一選定某一N極作為位移零點時,x為磁頭對磁性標尺的位移量;
ω——輸出線圈感應電壓的頻率,它比激磁電流的頻率ω高一倍。
原理
在進行位置檢測時,為了在低速甚至靜止時也能得到位置信號,必須採用磁通回響型磁頭(又叫磁調製式磁頭)。磁通回響型磁頭由鐵芯、勵磁繞組w,輸出繞組組成。磁通回響型磁頭有兩組繞組,即繞在磁路截面尺寸較小的橫臂上的勵磁繞組W1和繞在磁路截面尺寸較大的豎桿上的輸出繞組W2,當對W1施加勵磁電流i時,在i的瞬時值大於某一個數值以後,橫臂的鐵心材料飽和,這時磁阻很大,磁路被阻斷,磁性標尺的磁通不能通過磁頭閉合,輸出線圈W1與勵磁繞組0不交鏈。當i的瞬時值小於某一個數值時,所感生的磁通也隨之降低,兩根橫臂中的磁阻相應減小,磁路開路。輸出線圈W2與勵磁繞組0串聯。勵磁線圈的作用相當於磁開關,勵磁電流在一個周期內兩次過零,兩次出現峰值,相應磁開關通斷各兩次。磁路由通到斷的時間內,輸出線圈中交鏈的磁通量由勵磁繞組0降到零;磁路由斷到通的時間內,輸出線圈中交鏈的磁通量由零增加到仇,因此輸出線圈中有感應電動勢E出現,並且感應電動勢的頻率比勵磁電流高一倍,在勵磁電流頻率已經確定的情況下,其峰值取決於磁通量,也即取決於磁性標尺在該點的磁感應強度。因此輸出線圈中輸出的是一個調幅信號。磁柵的檢測方法有鑒幅法和鑒相法兩種,在數控工具機中通常使用鑒相法。

