科爾電光效應
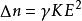
磁光科爾Kerr效應科爾電光效應(即直流科爾效應)是一種特殊情況,其中緩慢變化的外部電場例如通過樣品材料上的電極上的電壓施加。在這種影響下,樣品變成雙折射,對於平行於或垂直於施加電場偏振的光具有不同的折射率。折射率差由下式給出:
磁光科爾Kerr效應
磁光科爾Kerr效應
磁光科爾Kerr效應
磁光科爾Kerr效應其中是光的波長,是科爾常數,是電場的強度。折射率的這種差異導致材料在光沿垂直於電場的方向入射時像波片一樣起作用。如果材料放置在兩個“交叉”(垂直)線性偏振片之間,當電場關閉時,不會有光線透過,而幾乎所有的光線都會傳輸一定的電場的最佳值。科爾常數的較高值允許以較小的施加電場實現完全傳輸。
磁光科爾Kerr效應
磁光科爾Kerr效應一些極性液體,如硝基甲苯()和硝基苯()表現出非常大的科爾常數。填充有這些液體之一的玻璃電池被稱為科爾電池。這些通常用於調製光線,因為科爾效應對電場變化的回響非常快。這些器件的光可以在高達10 GHz的頻率下進行調製。由於科爾效應相對較弱,典型的科爾單元可能需要高達30 kV的電壓才能實現完全透明。這與Pockels電池相反,Pockels電池可以在低得多的電壓下工作。科爾細胞的另一個缺點是最好的材料硝基苯是有毒的。一些透明晶體也用於科爾調製,儘管它們具有較小的科爾常數 。
在缺乏反演對稱性的媒體中,科爾效應通常被更強的普科爾斯效應所掩蓋。然而,科爾效應仍然存在,並且在許多情況下可以獨立於普科爾斯效應貢獻來檢測。
光學科爾效應
光科爾效應或交流科爾效應是電場由光本身引起的情況。這會導致與光的局部輻照度成比例的折射率變化。這種折射率變化是自聚焦,自相位調製和調製不穩定性的非線性光學效應的原因,並且是科爾透鏡鎖模的基礎。這種效果只有在非常強烈的光束(例如來自雷射器的光束)時才會顯著。光學科爾效應也被觀察到可以動態地改變多模光纖的模式耦合特性,這種技術在全光開關機制中具有潛在的套用價值。
磁光科爾效應
磁光科爾效應(MOKE)是這樣一種現象,即從磁化材料反射的光具有輕微旋轉的極化平面。它與透射光的偏振面旋轉的法拉第效應類似。
