簡介
碼映射是符號空間Ω 到切餅集C上的一種映射。
碼映射
碼映射
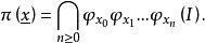
碼映射設S是切餅映射,C是對應的切餅集,設 的逆映射分別為 設x=xx…x…∈Ω ,Ω={0,1},碼映射π:Ω →C定義為
映射
在數學裡,映射是個術語,指兩個元素的集之間元素相互“對應”的關係,為名詞。
映射,或者射影,在數學及相關的領域經常等同於函式。 基於此,部分映射就相當於部分函式,而完全映射相當於完全函式。
符號空間
符號空間是分形幾何中的一種重要空間。
設m≥2為正整數,Ω(=Ω(m))為m個字母的集合,Ω 為由Ω中元素組成的長度有限的序列的集合。設ω∈Ω*,柱集Ω 表示Ω 中前|ω|個字母等於ω的元素的集合,其中|ω|表示ω的長度(ω中含字母的個數),則稱Ω 為符號空間。
