
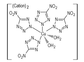
其中x為3或4,y為1或2M為Fe、Co、Ni、Cu、Zn 、Cr或Mg;Cat+為 NH4+、Na+、 K+、 Rb+或Cs+,滿足x+y=6的規律。這類起爆藥的共性是威力大、綠色環保,因為含有多個硝基四唑陰離子,而不含有重金屬鹽、高氯酸根等有毒物質。其中並不乏頓感、穩定、高威力的好藥,例如NH4FeNT、NH4NiNT等。NH4CuNT的結構為————

這類起爆藥的詳細數據————


從上表就可以看出NH4CuNT真不愧是家族裡的優秀成員。
1、感度:先就機械感度方面來說NH4CuNT十分頓感,在這個測試條件下RDX爆炸落高是22cm,PETN是14cm,而NH4CuNT竟達到了23cm,遠遠頓感於常用的起爆藥,摩擦感度略微遜色,不過也達到了600g,雖然離PETN的5.8kg有點遠,但是相比常規起爆藥LA的6g來說就是一個天一個地了,更不用說超級敏感的HMTD和TATP,在機械感度方面NH4CuNT可以說完勝常規起爆藥,特別是潮濕狀態下不能被明火起爆,能安全地進行運輸。再來看看靜電感度,NH4CuNT也是很頓感,LA和LS根本沒得比。唯一令人蛋疼的是NH4CuNT的火焰感度,明火接觸會爆轟但是火焰感度不高,據說導火線能直接引燃,但是我試了兩次都沒成功,只得作罷。NH4CuNT裝填火鐳管並不合適,更合適的是電鐳管。
2、安定性:NH4CuNT熱安定性較好,在265℃下才分解,據說在250℃下能耐住幾個小時。且NH4CuNT光安定性好,和空氣中成分不發生反應,在水中也穩定。
3、起爆力:現在暫時沒有找到NH4CuNT的詳細起爆力數據,但是個人判斷NH4CuNT的起爆力不會低,畢竟四個硝基四唑陰離子的能量不是蓋的。並且經過測試米粒大小的NH4CuNT開放條件下火焰接觸直接爆轟,DDT過程較短,和LA類似,不經熔化直接爆轟分解,完全符合起爆藥的常規特性。還有NH4CuNT的最大爆速達到了7400m/s,比苦味酸爆速還略高,威力是毋容置疑的。綜上,我們完全有理由相信NH4CuNT的起爆力和LA有一拼。但實際起爆力如何還要等實際測試。
4、毒性:NH4CuNT的毒性較小,不含重金屬鹽等有毒物質,且爆轟產物主要是Cu、N2、CO2、H2O和少量CO(約3%)、NO2(約2%),是真正的綠色起爆藥,是LA、LS等含鉛起爆藥和DACP、BNCP等含高氯酸根起爆藥不能相比的一點。
綜上,NH4CuNT是真正的綠色頓感起爆藥,除火焰感度較低、晶體細小易聚成團和熱安定性一般之外,各方面性能都比常規起爆藥要優秀(起爆力不詳,但估計能和LA媲美),特別是高度安定性、高度頓感和綠色無毒這幾點十分值得注意。個人認為NH4CuNT改晶或者造粒後完全可以代替現有常規起爆藥套用於電鐳管之中(若要裝填火鐳管還需加裝點火藥),能大大提高鐳管儲存、運輸和使用的安全性。

