介紹
硐室是一種未直通地表出口的、橫斷面較大而長度較短的水平坑道。其作用是安裝各種設備、機器,存放材料和工具,或作其他專門用途,如機修房、炸藥庫、休息室等。
各種硐室的形狀、規格和結構差別很大,所穿過的岩石性質也不相同,所以施工方法也較多。這些施工方法可以分為以下三類:全斷面一次掘進法、台階工作面施工法和導硐施工法。分層施工法根據硐室的高度及地槽的深度,宜將硐室及地槽分為3~4個分層,每個分層施工時,應採用錨噴作臨時支護,宜從下向上連續施工。導硐施工法導硐斷面,不宜大於10m2,導硐掘進和硐室刷大,宜採用錨噴或金屬支架作I臨時支護,宜先完成硐室的永久支護,再施工地槽,地槽宜分段施行。
硐室施工
特點
硐室施工與一般巷道相比,具有以下特點:
①硐室的斷面大、變化多,長度則比較短,大型施工機械難於進入工作面施工。
②硐室往往與其他硐室、巷道、井筒相連,加之有的硐室本身結構複雜,故其受力狀態不易準確分析,施工難度較大。當圍岩穩定性差時,施工安全尤為重要。
③硐室的服務年限較長,工程質量要求高,不少硐室還要澆築機電設備的基礎,預留管線溝槽,安設起重梁等,故施工時要精心安排,確保工程規格和質量。
硐室施工,除應注意其本身特點外,還要和井底車場的施工組織聯繫起來,考慮到各工程之間的相互關係和合理安排。
硐室圍岩穩定性基本取決於自然因素(圍岩應力、岩體結構、岩石強度、地下水等)和人為因素(位置、斷面形狀和尺寸、支護方式、施工方法等)。在設計和施工時均應綜合考慮這些因素對硐室圍岩穩定性的影響。必須明確,硐室圍岩的穩定性與硐室施工方法有關,選擇硐室密集區域的硐室施工方法時,應合理安排硐室的施工順序並根據圍岩穩定性分析、判斷允許岩石暴露的面積和時間,以選擇合理的掘進方法。
方法
各種硐室的形狀、規格和結構差別很大,所穿過的岩石性質也不相同,所以施工方法也較多。這些施工方法可以分為以下三類。
(1)全斷面一次掘進法
全斷面一次掘進法,常用於圍岩比較穩定、斷面不是特別大的硐室。它和普通巷道施工法基本相同。在常規設備條件下,全斷面一次掘進硐室的高度,以不超過5m為宜。徐州大黃山煤礦的一570m水平水泵房,位於砂岩、砂頁岩中,斷面形狀為半圓拱形,掘進寬度4.4m,掘進高度3.1m,就是採用錨噴支護、全斷面一次掘進法施工的。
(2)台階工作面施工法
當採用全斷面一次掘進圍岩維護困難時,或者由於硐室的高度過大而不便於施工時,可以將整個硐室按全高分成幾個分層,施工時形成台階狀。上分層工作面超前施工的,稱為正台階工作面施工法,亦稱下行分層施工法;下分層工作面超前施工的,稱為倒台階工作面施工法,亦稱上行分層施工法。台階工作面施工法一般用在岩層穩定或比較穩定的條件下。
硐室①正台階工作面(下行分層)施工法:根據硐室的全高,整個斷面可分為2~3個分層,每層的高度以2~3m為宜。某礦水泵房施工時,採用了正台階工作面施工法,如右圖所示。上分層工作面高2.5m,超前2m左右;下層工作面呈 斜坡是為了便於溜放上分層工作面的矸石,在下分層用裝岩機裝岩,施工組織採用“兩掘一錨噴”。具體做法是隨掘隨噴一層5mm厚的水泥砂漿,用以臨時封閉圍岩,待掘進20~30m後,再按設計厚度噴射混凝土作為永久支護。錨桿有效長度為1.5m,間距0.7m,排距1.0m,方形布置。
當硐室長度較小時,可將上分層全部掘噴完,然後再掘噴下分層。
若圍岩條件差,硐室採用砌碹支護,也可用正台階工作面施工法。此時上分層掘進錨桿掛網作為臨時支護。砌碹工作可有兩種方法:一是砌碹工作落後於下分層掘進工作面1.5~2.5m,砌碹隨下分層工作面前進逐步向前推進;另一種方法是先拱後牆砌築,即上分層採用短段掘砌,先砌好拱,並適當加大上分層的距離,使下分層爆破不損傷拱帽。採用先拱後牆施工法施工時,牆和拱問的工藝縫的處理要注意填滿硬砂漿。
②倒台階工作面(上行分層)施工法:下分層工作面超前,邊掘進邊砌兩側邊牆,上分層工作面則利用挑頂後的矸石作腳手架砌頂部碹。
(3)導硐施工法
導硐施工法是指巷道或硐室施工時,先以小斷面超前掘進,而後擴大到設計斷面的方法。導硐的位置、斷面應滿足通風和裝運的要求。根據導硐所在位置的不同,有中央下導硐施工法、頂部導硐施工法、兩側導硐施工法之分。對特大斷面硐室(如50m2以上)多採用兩側導硐施工。
①中央下導硐施工法:導硐位於硐室中部靠近底板,導硐斷面可按單軌巷道考慮以滿足機械裝岩為準。當導硐掘到預定位置後,再進行刷幫、挑頂,並完成永久支護工作。硐室採用錨噴支護時,宜用中央下導硐先挑頂後刷幫的施工順序。挑頂的矸石可用裝岩機裝出,挑頂後隨即安裝拱頂錨桿和噴射拱部混凝土,然後刷幫並噴射牆部混凝土。
對於砌碹支護的硐室,適用於中央下導硐先刷幫後挑頂的施工順序。在刷幫的同時完成砌牆工作,然後挑頂,完成拱部砌碹。
②兩側導硐施工法 在鬆軟、不穩定岩層中,為了保證硐室施工的安全,在兩側牆部的位置沿硐室底板開掘兩條小導硐,其斷面不宜過大,一般寬度為1.8~2.0m,高度為2.0m,以利控制頂板。掘一層導硐後隨即砌牆,再掘上一分層的導硐,矸石放在下層導硐里一部分,代替腳手架,再接砌邊牆到拱基線位置。牆部完成後開始挑頂砌拱。拱部完成後再拆除中間所留的岩柱。
硐室爆破
硐室爆破是把硐室或井巷作為專用的裝藥空間,將大量炸藥裝填其中,達到一次起爆大量炸藥,完成大量土石開挖的爆破技術。硐室爆破具有施工快,工效高,不受氣候、交通等條件限制的特點,適用於山區交通、水利工程土石方開挖和大型露天礦山的剝離爆破等。我國是進行硐室爆破最多的國家之一。目前,萬噸級炸藥的爆破有三次,百噸級以上的達數百次。爆破工作者在工程實踐中創造了條形藥包硐室控制爆破、多邊界公路土石方硐室控制爆破和硐室加預裂一次成形爆破新技術,在保證爆破效果、控制爆破危害、降低工程成本、加快工程進度等方面取得了很好的社會和經濟效益。
硐室爆破分類
(1)按爆破作用特徵分類
①鬆動爆破。
②加強鬆動爆破(也稱減弱拋擲爆破)。
③拋擲爆破,包含定向拋擲、標準拋擲、加強拋擲三種類型。
④崩塌爆破。
在陡坡地形條件下,藥包的最小抵抗線W遠小於藥包中心至地面的高度H,抗高比W/H小於0.6的硐室爆破稱為崩塌爆破。
⑤混合型爆破。
根據爆破的目的和要求,可以使一次爆破同時具有以上多種爆破類型,稱之為混合型爆破。
(2)按藥室形態分類
①集中藥包硐室爆破
集中藥包以球形為標準:爆破作用範圍近似於球形,其爆破應力波為球面波向外傳播。一般認為高度不超過直徑4倍的圓柱形,或最長邊不超過其他任意最短邊4倍的直角六面體,都屬於集中藥包。
硐室集中藥包的優點是藥室布置靈活。如可較容易避開斷層、溶洞等地質構造薄弱面,可用多個集中藥包組合的形式控制斷層、溶洞等地質構造薄弱面對爆破效果的影響;對地形崎嶇的爆區,容易用輔助集中藥包改造地形,為主藥包創造理想的自由面。集中藥包的缺點是裝藥量集中,岩石破碎不均勻,大塊率高;在邊坡處布置集中藥包時,對藥包附近基岩的破壞性影響比條形藥包大;導洞開挖工程量較大;爆破規模較大,並且 較大時藥室的體積大,其斷面形狀較複雜,藥室掘進難度較大,安全性較差。
集中藥包適用於地形、地質條件複雜,斷層、溶洞較多的爆區。
②條形藥包硐室爆破
硐室通常將滿足 的藥包稱為條形藥包。也有從藥包淺埋岩土內因爆破產生的漏斗形狀特徵出發,認為在條形藥包的中段,爆破漏斗口半徑,一沿藥包縱軸線上有一段相同值時為條形藥包。因此用藥包的長度£與藥包的最小抵抗線W之比作為判據,一般認為當Z/W≥2.0時為條形藥包。
條形藥包硐室爆破是在集中藥包硐室爆破的基礎上發展起來的。相對於集中藥包硐室爆破,條形藥包硐室爆破藥量分布較均勻,爆破大塊率較低;條形藥包硐室爆破對藥包附近的基岩損壞範圍較小,若條形藥包布置在永久邊坡處,則爆破對永久邊坡的損傷要比集中藥包小;同等藥量情況下,條形藥包的爆破震動強度比集中藥包低。條形藥包的缺點是藥包布置不夠靈活。
在地形條件不十分複雜,工程地質條件較好(如無斷層、溶洞等)的爆區,應採用條形藥包。
③分集藥包硐室爆破
將條形藥包沿藥室軸線分割成若干個長度較短的裝藥段,裝藥段之間適當充填,這種藥包稱為分集藥包,也稱為條形藥包分段間隔裝藥微差爆破藥包,簡稱分段藥包。分集藥包的爆破作用特徵介於集中藥包和條形藥包之間。
硐室
硐室分集藥包的優點是能充分適應複雜的地形、地質條件,如爆區記憶體在斷層、溶洞、軟弱夾層等,或同一個條形藥包硐室內的 值相差較大,或為了降低爆破震動強度,限制每個藥室的裝藥量,或因爆破規模不大, 值較小。若採用條形藥包連續裝藥結構,則不耦合係數過大時,均可採用分集藥包布置形式。分集藥包的主要缺點是分段填塞工程量大,起爆網路連線和保護較複雜。
分集藥包多用於岩體內斷層和大裂隙較多,地形崎嶇不平,同一條條形藥室w變化突出或不耦合係數過大的爆破中。
④混合藥包硐室爆破
由於地形、地質以及施工等因素,一次硐室爆破中有時其藥包的形態既有集中藥包又有條形藥包,甚至還有分集藥包。這就是混合藥包硐室爆破。混合藥包一般用於爆破規模較大,爆區的地形、地質條件較複雜的硐室爆破中。
布置原則
硐室斜坡應根據地形和開挖邊坡布置藥包,儘量使設計斷面內的岩體鬆動或被大量拋擲,同時減輕爆破作用對基面和邊坡的損傷。
①一側邊坡不高時,經常採用的布藥方式是單層單排布置藥包,並依據周圍環境情況和爆破要求採用拋擲爆破或鬆動爆破,如右圖(a)所示。
②當路基較寬時,為了保護邊坡,減少大藥量藥包對邊坡的破壞,可採用單層雙排的布藥方式布置雙排集中藥包或條形藥包。兩排藥包間採用毫秒延期起爆,前排藥包採用較大的參數,以有利於改善後排藥包的爆破效果以及減輕對邊坡的影響範圍,如右圖(b)所示。
③在陡坡上,多採用單排雙層的布藥方式,如上圖(c)所示。在條件適宜的地方,應儘可能採用崩塌或拋擲爆破。
④地形較陡、開挖路基(站場)較寬時,布置最小抵抗線較大的藥包容易對邊坡產生較大的影響,此時一般採用多排多層的布藥方式,如上圖(d)所示,以減小最小抵抗線的數值,降低裝藥量。同排上下層藥包、同段前後排的藥包採用延期雷管起爆。
⑤在斜坡上開挖雙壁路塹時,為保護邊坡,可布置成雙層單排藥包,如上圖(e)所示:上層設計成拋擲藥包,下層設計成鬆動藥包;上層先爆破,下層後爆破。
硐室⑥對於山脊地形,一般在主山脊的正下方布置主藥包,如上圖(f)所示。當山脊較平緩厚實時,可在山脊下圍繞主藥包布置輔助藥包,如上圖(g)、(h)所示,也可布置兩排或多排對稱的主藥包。
硐室
硐室
硐室
硐室⑦在山脊地形條件下,在一側可以拋擲、另一側不允許拋擲的情況下,可將藥包偏離山脊的投影線,選擇兩側的最小抵抗線 、 和適當的 、 值,做到一側拋擲而另一側鬆動,如右圖所示。
最小抵抗線
選擇藥包的最小抵抗線是硐室爆破中藥包布置的核心問題。最小抵抗線應根據周圍環境和爆破要求而定,一般控制在15~25 m。
集中藥包硐室爆破中的藥包間距一般由下式計算。
硐室
硐室對於中硬和堅硬岩石: 或。
式中m——密集係數;
n——爆破作用指數;
硐室——最小抵抗線,m。
硐室
硐室對於斜坡地形爆破,m=1.0~1.2。如果兩個藥包的值和值不一樣,則有
硐室K值的確定
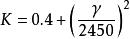
硐室形成標準拋擲爆破漏斗時,單位體積岩石的炸藥消耗量稱為標準拋擲爆破單位炸藥消耗量,簡稱標準單耗,用K表示,單位為。標準單耗K值可用計算法和爆破漏斗試驗法獲得,但更多的是根據經驗選取。
(1)計算法
硐室
硐室用岩石密度計算,公式為或。
硐室
硐室式中:——岩石密度,。
(2)爆破漏斗試驗法
硐室
硐室
硐室
硐室
硐室試驗要選擇與爆破工點相同地質情況的平坦地面,首先假定K值,按 n-1 計算裝藥量。爆破後,實際測出爆破漏斗半徑和可見漏斗深度,計算出的值。若n值不等於1,則先按爆破作用指數函式修正設計的K值:。
硐室需要注意的是,標準拋擲爆破漏斗試驗中,除要求 n=1 外,還有爆破漏斗可見深度的要求,此外還需根據試驗岩石條件修正K值。
(3)經驗選取
根據岩石堅固性係數廠,同時考慮工地具體的岩層結構、節理、裂隙和風化程度,適當確定岩石等級,合理選用K值。
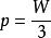
裝藥量的計算
硐室集中藥包硐室爆破的裝藥量計算可採用鮑氏公式: 。
常用的變換形式如下。
硐室①對於標準鬆動爆破:;
硐室②對於加強鬆動爆破: ;
硐室③對於多面臨空、陡坡地形崩塌爆破:。
相關名詞
硐室支護
硐室支護(cavern support):為防止硐室圍岩失穩而採用的臨時加固措施。根據地質條件,對硐室不同部位可採用拱部支撐、全斷面支撐、密排式支撐等結構形式。設計支護結構時,要求堅固穩定,構造簡單,裝拆方便,淨空較大,儘量就地取材,儘可能與永久性襯砌結合。按結構材料不同,分木支撐、鋼支撐、鋼筋混凝土支撐、錨桿支撐和噴混凝土支撐等。
硐室照明
硐室照明(cavem lighting):保證硐室施工中良好可見度需要的技術措施。必須符合安全要求,照明線路的電壓應採用低壓,在施工地段用24~36 V,在成洞地段可用l 10~220 V。為保證照明電源不致發生間斷,照明線路應採用單獨系統,不與動力線接在一起。有滲水、潮濕的地段需用膠皮電纜,工作面附近應使用防水燈頭和防水燈罩。架設電線位置必須與高壓風管、水管和通風管分開。照明電線要求布置在開挖前進方向的隧洞左側岩壁上;橫跨通道的電線,最低點的高度不低於2 m。
硐室通風
硐室通風(cavern ventilation) 排除因爆破、機械產生的有害氣體或粉塵,保持硐室內有足夠新鮮空氣流通的一種技術措施。按通風方式,分壓入式、吸出式和混合式三種。壓人式通風是利用壓入式通風機向洞內吹人新鮮空氣,把有害氣體和粉塵趕出洞外;由於風速大,能很快將工作面的有害氣體和粉塵沖淡並由硐室排出,排出物在洞內隨風擴散、蔓延範圍大,開挖長隧洞時,工作人員需穿過蔓延的混濁氣流進入工作面。吸出式通風是通過風管將有害氣體和粉塵吸走並排出洞外,不影響工作人員爆破後進洞工作,但洞內風壓小,通風時間長。混合式通風是同時使用壓吸兩套設備,壓入式通風機吹入新鮮空氣,吸出式通風機吸出有害氣體和粉塵,兼有壓人式和吸出式兩種通風方式的優點。
硐室開挖
硐室開挖(cavern excavation):硐室施工的一項作業。開挖方法的選擇受地形、地質和水文地質條件,隧洞斷面大小、形狀和埋置深度,施工機械和安全防護措施等因素的影響。岩石硐室可採用鑽孔爆破開挖法和掘進機開挖。土質隧洞可採用盾構開挖法、頂管法和明挖法等。
躲避硐室
躲避硐室是無軌運輸的斜坡道,應設人行道或躲避硐室。行人的無軌運輸水平巷道應沒人行道。
躲避硐室的間距在曲線段不超過15m,在直線段不超過30m。躲避硐室的高度不小於1.9m,深度和寬度均不小於1.0m。躲避硐室應有明顯的標誌,並保持乾淨、無障礙物。

