爐渣黏度
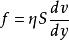
短渣爐渣流動時以各種不同的速度移動著的各液層之間產生的內摩擦力(粘滯力)。此內摩擦力f與垂直於流動方向的各液層間的速度梯度dv/dy 和液層面積S成正比。 ,此式稱為牛頓粘度公式。遵從此公式的流體叫做牛頓流體。式中的比例係數η稱為粘度係數(或內摩擦係數),簡稱為粘度,它相當於單位濃度梯度下作用在單位面積的液層上的切應力(內摩擦力),單位為Pa·S或N·S·m 。過去的書刊中用P(泊)作為粘度單位,1P=0.1Pa·S。粘度η與液體密度ρ之比, 稱為運動粘度,以v表示。v=η/ρ。粘度的倒數代表流動性。粘度越大,流動性越差。爐渣粘度超過3Pa·S—5Pa·S,就很難從爐中放出 。
爐渣曲線
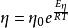
短渣爐渣粘度隨溫度升高而降低,η與T的關係為 ,式中η是常數,E稱為粘流活化能。溫度對酸性和鹼性渣粘度的影響有顯著區別,如圖所示。鹼性渣的粘度隨溫度升高而明顯下降,η-T曲線有明顯的轉折溫度,此溫度稱為熔化性溫度。在此溫度以下,渣的粘度明顯增大。這種渣常稱為 短渣。酸性渣的粘度隨溫升高而逐漸下降,η-T曲線比較平緩。這種渣常稱為長渣(或玻璃渣)。爐溫有波動時,酸性渣的粘度波動不大,其熱穩定性較 好。鹼性渣在溫度略高於其熔化性溫度時,若有溫度波動,其粘度會有較大變化,故其熱穩定性差。爐渣粘度與組成的關係甚為複雜,通常用圖表示 。
對於均相的液態爐渣來說,決定其粘度的主要因素是成分及溫度。而在非均相狀態下,固態懸浮物的性質和數量對粘度有重大影響。
溫度降低到一定值後,粘度急劇上升稱為“短渣”;隨溫度下降粘度上升緩慢者稱為“長渣”。高爐渣多為短渣。
渣成分對粘度影響的一般規律是,酸性渣雖然熔點不高,但在過熱度相當大的區間內粘度都很大。隨鹼性物的加入粘度降低。
爐渣黏度對料柱透氣性的影響:黏度過大的初成渣能堵塞爐料間的空隙,使料柱透氣性變壞從而增加煤氣通過時的阻力。這種爐渣也易在高爐爐腹部位的牆上結成爐瘤,會引起爐料下降不順,形成崩料和懸料等生產故障。
爐渣黏度對爐渣排放的影響:爐渣黏度過高,容易堵塞爐缸,發生黏結渣溝和渣口凝渣等現象,不易從爐缸中自由流出,使爐缸壁結厚,縮小爐缸容積,造成操作上的困難。有時還會引起渣口和風口大量燒壞。
爐渣黏度對爐渣脫硫能力的影響:爐渣的脫硫能力與其流動性具有一定的關係。爐渣黏度低,流動性好,有利於加快脫硫反應過程中的擴散速度。
區別長渣和短渣
熔渣在高溫時粘度很小,並且隨著溫度降低,粘度變化很小,而當溫度降到某一區間時,粘度隨溫度降低而急劇增大,也就是說熔渣凝固溫度範圍較窄,此種渣通常稱為短渣。反之,在溫度降低過程中,熔渣粘度逐漸增大,凝固溫度範圍較寬,則這種渣稱為長渣。定量地區分熔渣的粘度一溫度這種特性,對於改善其工藝性能及冶金性能有一定指導意義 。
能夠迅速凝固的焊接熔渣通常稱為“短渣”。凝固緩慢、凝固時間較長的焊接溶渣稱為“長渣”。
一般鈦鈣型、氧化鈦型、低氫型的熔渣都屬於短渣。短渣的特點是高溫時粘度小、流動性好、冶金效果較好,而在冷卻條件相同時,凝固時間很短,適用於立焊、仰焊的操作。
長渣則相反,藥皮中含有大量矽酸鹽與氧化鐵等物質的焊接熔渣屬於長渣。其特點是黏度隨溫度的降低而緩慢增加。當進行立焊、仰焊時,熔渣承托不住液態金屬,所以一般不適於立焊和仰焊的操作 。
對於鍋爐來說,當溫度間隔值在200~400℃時,固相和液相共存溫度區間較寬,爐渣粘度隨溫度變緩慢,冷卻時可在較長時間保持一定粘度,易於結渣,這樣的灰渣稱為長渣,適於液態排渣;但溫度間隔在100~200℃時為短渣,灰渣粘度隨溫度變化急劇,凝固快,適於固態排渣。

