數學定義
設A是n × n矩陣,λi是其特徵值,i = 1,2,……,n。稱ρ(A)=max{|λi|,i=1,2,……n}為A的譜半徑。即矩陣A的譜半徑等於矩陣A的特徵值的模的最大值;若特徵值為虛數,則譜半徑為實部與虛部的平方和的開方。
MATLAB實例
雅克比疊代求
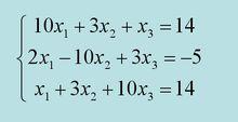
矩陣譜半徑 A=[10 3 1;2 -10 3;1 3 10];
b=[14 -5 14]';
D=diag(diag(A));
L=-tril(A,-1);U=-triu(A,1);
B=D\(L+U);f=D\b;
x=[0;0;0];
for k=1:9
x=B*x+f;
x'
end
其中B矩陣的矩陣半徑:R=max(abs(eig(B)))=0.3873
