定義
矩陣相似設A,B為數域P上兩個n階矩陣,如果可以找到數域P上的n階可逆矩陣X,使得 ,則稱A相似於B,記作A~B。
性質
(1) 若A相似於B,則A等價於B(即A可通過初等變換化為B)
(2) 若A相似於B,則tr(A)=tr(B)
(3) 若A相似於B,則|A|=|B|
以上三條反之皆不成立
矩陣相似證明:若A~B,則存在可逆矩陣X使得
矩陣相似
矩陣相似
矩陣相似令 , 則 ,即A與B等價,(1)成立
矩陣相似因 ,於是有
矩陣相似即A與B有相同特徵值多項式,因而有相同的特徵值,故(2)(3)也成立。
矩陣相似
矩陣相似反例: ,
矩陣相似顯然A與B等價,並且tr(A)=tr(B),|A|=|B|,但A與B不可能相似(因A=E,對任意的n階可逆矩陣X,都有 )。
相似是矩陣間的一種重要關係,這種關係具有以下三個性質:
矩陣相似
矩陣相似
矩陣相似
矩陣相似
矩陣相似
矩陣相似
矩陣相似
矩陣相似
矩陣相似
矩陣相似
矩陣相似
矩陣相似
矩陣相似
矩陣相似
矩陣相似
矩陣相似
矩陣相似
矩陣相似
矩陣相似
矩陣相似1.反身性: 。這是因為 (其中 為單位矩陣,下同)。2.對稱性:如果 ,那么 。事實上如果 ,那么有X使 ,令 ,就有 ,所以 。3.傳遞性:如果 , ,那么 。因為若,,即存在X,Y使 , 。令 ,就有 ,因此有 。(具有以上三個性質的關係統稱為等價關係)
矩陣相似充分必要條件
矩陣相似設A,B是數域P上兩個 矩陣:
矩陣相似
矩陣相似(1) A與B相似的充分必要條件是它們的特徵矩陣 與 等價。
(2) A與B相似的充分必要條件是它們有相同的不變因子。
(3) 兩個同級複數矩陣相似的充分必要條件是它們有相同的初等因子。
套用
矩陣相似
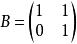
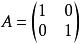
矩陣相似例:已知A~B,其中 , 。
矩陣相似
矩陣相似(1)求a,b的值;(2)求可逆矩陣X使 ;(3)求 。
解:(1)因tr(A)=tr(B)及|A|=|B|可得a=5,b=3
(2)顯然A的特徵值為2,1,5,即B的特徵值也為2,1,5
矩陣相似
矩陣相似
矩陣相似
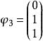
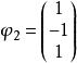
矩陣相似由 可得對應特徵向量 , ,
矩陣相似
矩陣相似令 ,則有 。
矩陣相似(3) 。
