喇叭天線是由逐漸張開的波導形成,逐漸張開的過渡段既可以保證波導與空間的良好匹配,又可以獲得較大的口徑尺寸,以提高輻射的方向性。矩形喇叭天線也就是波導的截面形狀為矩形,此時,若保持矩形波導的窄邊尺寸不變,逐漸展開寬邊就得到H面矩形喇叭,而若保持矩形波導的寬邊尺寸不變,逐漸展開窄邊就得到E面矩形喇叭。
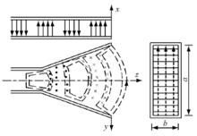
矩形喇叭天線結構
矩形喇叭天線一般是由反射面、喇叭天線、輻射計系統、校準系統、輻射計後端構成。
口徑場分布
從矩形波導過渡到喇叭,當矩形波導中傳輸的主模式TE波時,在喇叭內只存在3個場分量:2個橫向分量,1個縱向分量。由於喇叭內臂互相不平行,而是從波導擴展到喇叭,電磁場矢量將改變方向。圖2(a)為H面矩形喇叭天線口徑場分布和內場結構。場結構在喇叭內和波導內的主要區別是:喇叭內波前已不再是平面波,從矩形波變成柱面波,喇叭口徑面上相位則呈平方律分布。
H面矩形喇叭天線的內場結構a
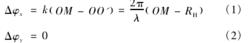
縱界面尺寸b喇叭內傳播的波可看成是從喇叭邊線的交點O發出的柱面波,其中O為喇叭的頂點,R為H面喇叭頂點邊緣的距離,D為喇叭口徑寬度,2φ為喇叭張角,如圖2(b)所示。波導口面場沿寬邊和窄邊的相位關係根據文獻可得:
矩形喇叭天線
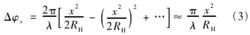
矩形喇叭天線由於喇叭的等效長度遠大於口面尺寸,即R>>x。根據冪級數展開關係,可得:
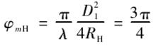
矩形喇叭天線對H面矩形喇叭雖然口面場E沿窄邊y軸逐漸張開,但其相位卻沿寬邊x軸方向發生變化,相位具有平方律分布,在喇叭口徑邊緣具有最大相移量:
矩形喇叭天線對H面矩形喇叭,口面場分布為
矩形喇叭天線由此可見,對於矩形喇叭天線,不論口面場沿哪個方向擴張,其振幅沿窄邊均勻分布,沿寬邊餘弦分布,相位沿擴張邊平方律分布。
方向特性
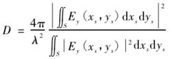
矩形喇叭天線輻射場的表達式為:
矩形喇叭天線
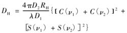
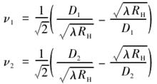
矩形喇叭天線方向性係數採用:
矩形喇叭天線計算,得到H面喇叭方向性係數:
矩形喇叭天線式中:
矩形喇叭天線從而天線方向性係數:
矩形喇叭天線下圖給出了H面矩形喇叭方向係數與尺寸關係曲線。
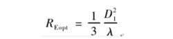
矩形喇叭天線最佳喇叭尺寸發生在:
矩形喇叭天線於是,可得喇叭的最佳尺寸為
矩形喇叭天線因此,矩形喇叭的最佳尺寸也就是對應的H面矩形喇叭的最佳尺寸。
