介紹
相轉移催化反應是20世紀60年代開始形成的一門新技術,多套用於非均相反應體系,可以在溫和的反應條件下加快反應速率,簡化操作過程,提高產品收率,受到了人們極大的關注。相轉移催化最初只是套用於烷基化等幾類典型的反應中,現已迅速發展到許多化學化工領域。除了套用於有機合成、高分子聚合反應外,還進入了分析、造紙、製革等領域。這一新技術的推廣,對許多化工新產品的開發、老產品生產技術的改造、質量的提高和成本下降產生了較大的影響,特別是在精細化工和製藥方面,將帶來令人矚目的經濟效益和社會效益。
相轉移催化反應的定義
相轉移催化有機合成它是指在相轉移催化劑作用下,有機相中的反應物與另一相(水相或固體相)中的反應物發生的化學反應,稱為相轉移催化(Phase Transfer Catalysis,PTC)反應。例如:
PhOH + CHBr— → PhOCH+ HBr
其中苯酚PhOH是固態的,溶於水中。而溴丁烷是液體,溶於有機溶劑中。兩種反應物不能同時存在於相同的相中進行接觸,所以該反應是屬於兩相間的親核取代反應。要完成該反應,可以有以下4種方法:
(1)將兩種反應物分別溶於水和有機相中,進行強烈攪拌,但所用溫度和壓力較高,產率低。
(2)將溴丁烷改成丁醇,用濃硫酸進行催化。但是由於濃硫酸的腐蝕性強,且溫度較高(>140℃),所以該方法受到了限制。
(3)用William法合成,即在無水乙醚中,用苯酚鈉和CHBr直接反應。但是無水操作較麻煩。
(4)用四丁基溴化銨為相轉移催化劑,可在50℃下進行反應,產率>90%。該方法使用了相轉移催化劑,可使兩相中的反應物充分接觸,且在較低的溫度下進行反應,產率較高。是一種先進的合成方法。
相轉移催化劑的種類
(1)翁鹽類
翁鹽類是較早廣泛使用的一類相轉移催化劑,包括季銨鹽、季磷鹽以及最近開始使用的鋶鹽等。其中季銨鹽的使用最廣泛,季銨鹽的通式是R4N+X— ,其中R 是烴基,由於需要具備親脂性才有催化劑作用,因此烴基的總碳原子數應大於12,一般為C15—C25左右,而且通常是碳原子數多的催化效果好。季銨鹽在酚化、氧化、烷基化等反應中,都有很好的催化活性。另外季銨離子的對稱性越高,正電荷被禁止得越嚴密,催化劑的效果越好。季磷鹽的結構和季銨鹽相似,催化的原理也相同,季磷鹽作為相轉移催化劑雖然比季銨鹽的價格要稍貴一些,但季磷鹽對鹼和熱的穩定性要比季銨鹽好,因此季磷鹽也逐漸被採用。
(2)聚醚類
聚醚類主要包括冠醚和開鏈聚乙二醇以及穴醚。這類試劑可以絡合一個金屬正離子,成為一個由有機介質溶劑化了的親脂性的複合正離子,這個複合正離子在相轉移催化反應中所起的作用和季銨正離子類似,能和反應試劑的負離子結合成離子對,並將負離子帶入有機相中,參加反應。冠醚類相轉移催化劑,經常用於固液反應。在這類反應中,反應物溶於有機溶劑中,然後此溶液與固體鹽類試劑接觸,當溶液中有冠醚時,鹽與冠醚形成絡合物而溶解於有機相中,隨即在其中進行反應。
(3)杯芳烴
杯芳烴是由苯酚和甲醛通過縮合反應生成的,在苯酚的2, 6—位以亞甲基相連的大環化合物。這類化合物分子的形狀像一個杯子。因此得名杯芳烴。杯芳烴具有下列主要特性:高度的熱穩定性和化學穩定性,比相應的非環化合物熔點高,可以用增減苯環的數目來調節空腔的大小。和常用的相轉移催化劑相比,杯芳烴催化劑的用量更少,反應時間更短,催化應活性更高。杯芳烴的一些衍生物有很高的催化活性,有些比翁鹽類和聚醚類的催化活性還高。
相轉移催化有機合成中的套用
1、親核取代反應
利用鹵代物和氰化鉀作用,製備腈化物是套用相轉移催化技術最早的一類反應。目前,這些反應不但用季銨鹽(或季磷鹽)、冠醚可以得到良好的結果,而且用三相催化劑也可得到很高的產率。例如在三相催化劑C一2催化下,1—溴辛烷(溶解在苯中) 與KCN的水溶液反應,壬睛的產率為95 %。在一般條件下,1—溴辛烷與CHSK、KSCN不反應。但在固一液兩相中,用新近合成的相轉移催化劑進行催化,反應很易進行,產率很高。
相轉移催化作用2、親核烴基化反應
親核烴基化反應是套用相轉移催化最廣的一類反應。在相轉移催化條件下,可以很容易把烴基引到C、O、S、N原子上去。C—烴基化:在O、S—二乙基、嗅代甲基—甲基硫代丙二酸的合成中需要多步反應,在相轉移催化劑(CH)NHSO(以下簡稱BuNHSO)的作用下,僅二步就可以完成,產率為60一70%。
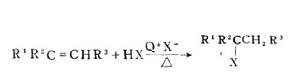
相轉移催化作用3、烯烴與氫鹵酸的加成
在經典的加成反應中,烯烴與氣體的鹵化氫必須在極性溶劑中,在沒有光照,沒有自由基引發劑的存在下進行反應,才能得到符合馬氏規律的加成產物。在相轉移條件下,烯烴與氫鹵酸水溶液很易按馬氏規律進行:
相轉移催化作用甚至在有催化劑量的過氧化物存在下也能得到符合馬氏規律的產物,加成反應速度也比較快。
4、消去反應
連位或同位二鹵代物脫去兩分子鹵化氫生成炔烴的反應,一般分兩步進行。在第二步脫去鹵化氫的過程中,要用強鹼NaNH2才行。在催化劑(CH)NBr或“Aliquat336”存在下,用固體的KOH在石油醚溶液中進行消除,反應一步完成,條件溫和、炔烴的收率很高。例如在(CH)NBr催化下對下述鄰二溴代物消去,二苯乙炔的產率可達96 %。
相轉移催化反應的優點
相轉移催化反應的優點有: ①不需要昂貴的無水溶劑或非質子溶劑;②增加了反應速度; ③降低了反應溫度; ④且在許多情況下操作簡便; ⑤可用鹼金屬氫氧化物的水溶液代替醇鹽、氨基鈉、氫化鈉或金屬鈉等強鹼性物質; ⑥其他特殊的優點,如能進行其他條件下無法進行的反應,改變反應的選擇性和產品比率,通過抑制副反應而提高產品收率等。

