基本介紹
定義
包括全距、平均差和標準差等標誌變動度都是絕對指標,都有與平均指標相同的計量單位。各種標誌變動度的數值大小,不僅受離散程度的影響,而且還受數列水平(即標誌本身的水平)高低的影響。因此,在對比分析中,不宜直接使用上述各種標誌變異指標來比較不同水平數列之間的標誌離散程度,必須用反映標誌變異程度的相對指標來比較,即用離散係數比較。
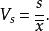
相對離散指標相對離散指標也叫 離散係數、 變異係數或 標準差係數,是變數的 標準差與 均值之比,通常用 來表示,即:
相對離散指標離散係數越大,說明變數分布的離散程度越強,平均數的代表性越差;離散係數越小,說明變數分布的離散程度越弱,平均數的代表性越好。
標準差
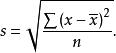
標準差又稱 均方差,是指各變數值與算術平均數相減之差的平方的算術平均數的平方根。它是測定變數變動度最常用的重要指標。標準差充分利用了所有統計資料,而且便於代數運算。標準差考慮了總體各變數變動的影響,比平均差更符合實際,所以在抽樣推斷上具有很重要的作用。標準差的計算公式為:
相對離散指標
相對離散指標式中: ——標準差;
相對離散指標——各個變數值;
相對離散指標——算術平均值;
相對離散指標——總變數數。
例題解析
例1 以下是兩個不同水平的工人日產量(件) 資料:
甲組:60,65,70,75,80
乙組:2,5,7,9,12
由此計算得:甲的平均數70件,甲的標準差為7.07件;乙的平均數為7件,乙的標準差為3.41件。
若根據標準差甲大於乙而斷言,甲組離散程度大於乙組,或乙組的平均數代表性高於甲組,都是不妥的。因為這兩組的水平懸殊,應計算其離散係數來比較:甲的離散係數根據公式算得10.1%,乙的離散係數根據公式算得48.7%,計算結果表明,並非甲組離散程度大於乙組,而是乙組大於甲組,或者說,乙組的平均日產量代表性低於甲組。
注意:全距、四分位差,平均差和標準差等都是反映變數分布離散程度的絕對指標,其數值大小取決於變數值本身水平即均值水平的高低,並且都有明確的計量單位。因此,不同均值水平和不同計量單位的絕對離散指標是不能直接比較的。為了不同變數分布之間離散程度的可比性,必須消除不同均值水平和不同計量單位的影響,應該計算相對離散指標。

