設計思想
直線運動機構直線運動機構分為精確直線運動機構和近似直線運動機構兩類。其中精確直線運動機構的設計思想主要有兩種:一種是利用幾何中的反演變換,把連桿末端的圓弧路徑反演為直線,用機械反演器可以完成這一功能;另一種則是通過兩個不平行的連桿結構,把路徑限制在兩個平面的交線。近似直線運動機構則是通過多個桿件實現自由度為1的連線,調整桿件的長度使得一點的運動軌跡中包含一段近似直的線段。
運動特點
1、結構簡單,製造容易,工作可靠,傳動距離較遠,傳遞載荷較大,可實現急回運動規律,但不易獲得勻速運動或其他任意運動規律,傳動不平穩,衝擊與振動較大。
2、結構緊湊,工作可靠,調整方便,可獲得任意運動規律,但動載荷較大,傳動效率較低。
3、傳動平穩無噪聲,減速比大;可實現轉動與直線移動,傳動平穩無噪聲,互換;滑動螺旋可做成自鎖螺旋機構;工作速度一般很低,只適用於小功率傳動。
4、載荷和速度的許用範圍大,傳動比恆定,外廓尺寸小,工作可靠,效率高;製造和安裝精度要求較高,精度低時傳動噪聲較大,無過載保護作用;斜齒圓柱齒輪機構運動平穩,承載能力強,但在傳動中會產生軸向力,在使用時必須安裝推力軸承或角接觸軸承。
5、軸間距離較大,工作平穩無噪聲,能緩衝吸振,摩擦式帶傳動有過載保護作用;結構簡單,安裝要求不高,外廓尺寸較大;摩擦式帶傳動有彈性滑動,不能用於分度系統;摩擦易起電,不宜用於易燃易爆的場合;軸和軸承受力較大,傳動帶壽命較短。
6、軸向距離較大,平均傳動比為常數,鏈條元件間形成的油膜有吸振能力,對惡劣環境有較強的適應能力,工作可靠,軸上載荷較小;瞬時運轉速度不均勻,高速時不如帶傳動平穩;鏈條工作時因磨損伸長後容易引起共振,一般需增設張緊和減振裝置。
分類
精確直線機構可以代替導槽和滑桿,由於在運動過程中唯一的損耗來源是鉸結處的轉動摩擦,而且摩擦的長度很短,所以相比導槽和滑桿,摩擦損耗要小很多。經典的精確機械結構有兩種,一種是波塞利耶-利普金直線運動機構,一種是薩魯斯直線運動機構。
近似直線運動機構
儘管精確直線機構可以替代滑桿和導槽,但在套用中,有需要一段是直線,另一段是曲線的結構。例如用腳行走的機械在著地時要沿著直線,返回時抬腳又需要走曲線。這樣的機械很難讓直線段嚴格為直線。但可以做成近似程度非常高的直線。
波塞利耶-利普金直線運動機構
直線運動機構波塞利耶-利普金直線運動機構(Peaucellier–Lipkin linkage)(又稱為波舍利直線運動機構)由法國軍官查理·尼古拉·波賽利耶(Charles-Nicolas Peaucellier(1832–1913))和約姆·托伍·李普曼·利普金(Yom Tov Lipman Lipkin(1846–1876))於1864年發明。這種機械的設計思想是基於機械反演器把圓弧反演為直線。
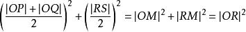
機械反演器由兩組桿組成,一組由4條長度相同的短桿構成形狀可以變化的菱形,另一組由兩條等長的長桿,一端連在反演中心處,另一端連在菱形的對角上。可以用幾何方法說明它的工作原理。設點O為反演中心,RPSQ四點構成菱形。
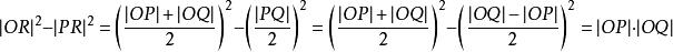
直線運動機構根據對稱性可以得到,點O,點P和點Q三點共線,都在∠ROS的角平分線上。根據勾股定理,可以得到:
直線運動機構
直線運動機構兩式相減,可以得到
直線運動機構
直線運動機構由此得出,P點和Q點關於O點反演,反演半徑為 。根據過反演中心的圓的反演是一條直線,可以得到,當P在過點O的圓的一段圓弧上運動時,Q點的軌跡是直線。
這種機械結構的優點是可以實現嚴格的線段約束,並實現直線運動和圓弧運動的正切轉換。缺點是占空比較大,活動範圍受到桿長的限制而比較小,需要的連桿和鉸結構比較多(一共有7條連桿和6個鉸結),因而結構比較複雜,引起可靠性不足。另外,如果有使連桿離開所活動的平面的力,將會使機械結構成為瞬變體系,導致結構強度不符合要求。
薩魯斯直線運動機構
直線運動機構薩魯斯直線運動機構(Sarrus linkage)由法國斯特拉斯堡大學教授比埃爾·費雷德里克·薩魯斯(Pierre Frédéric Sarrus(1798.3.10-1861.11.20))於1853年發明。這種機械的設計思想是,讓兩組垂直的連桿結構互相約束,使得連桿的共公末端在一平面內活動。
這種機械結構的優點是可以承受任意方向的干擾力而不至於結構受到破壞,因而非常堅固。還可以通過增加連桿結構提高強度,節約空間,活動範圍大。缺點是耗費材料比較多,因為每個剛件都是一個需要承受扭曲的面。
需要指出的是,如果想把這種直線運動機構中的剛件改為連桿,每個正方形剛件應該變為一個由12條棱組成的八面體,其中每條棱都不是多餘約束。
除了這兩種有名的直線運動機構,著名的直線運動機構還有分別以契貝謝夫、羅伯茨命名的直線運動機構和以哈特、肯普、斯科特-拉塞爾命名的精確直線運動機構等。
J.瓦特近似直線運動機構
直線運動機構19世紀初,為了代替當時笨重的齒扇鏈條機構,J.瓦特利用並行運動原理製成一種近似直線運動機構(圖1)。這種機構處於中間位置時,有幾何關係:AD⊥AB,AB∥CD,AE:DE=CD:AB,E點軌跡有一段近似直線,其長度至少等於AD。
這種直線運動機構的優點是比較簡單,但誤差比較大,而且在垂直於這個平面的方向也是瞬變體系。因而在套用中必須避免與它垂直的力。另外,由於不能保證非直線運動的部分向直線運動部分的單面凸,因而無法用這種機構構造用腳走路的機械。
霍肯直線機構
直線運動機構霍肯直線機構(Hoeckens Linkage)由卡爾·霍肯(Karl Hoecken(1874-1962))發明,是一種由四條連桿構成的機械結構。連桿的末端在半個周期內走直線,另外半個周期走特殊的弧線。其中與軸一同固定的點距離軸為半徑的兩倍,短連桿長度為半徑的2.5倍,長桿的長度為半徑的5倍,並在中點處與短連桿連線。實驗表明,這種直線機械的誤差在其工作範圍內小於千分之一。
這是一種非常適用於設計用腳走路的運載工具的機械結構。相比輪子,用腳走路對地面的要求很低,而且腳的末端可以設定較大的面積的墊子以減小對地面的壓強,平衡路面的高低不平。可以猜測古代的木牛流馬用了類似的直線機械,或許以後的仿生學設計中,這種結構將會投入套用。
套用價值
在動物千百年的進化中,可以看到連桿和關節是骨骼的基本結構,而導槽和滑桿幾乎看不到。這是因為減少體內的摩擦有利於節約體能損耗和骨骼摩損,從而更有利於生存。而在人類的機械設計中,圓周運動和往復運動的轉換是一種非常重要的基本結構。無論是古代傳說中的木牛流馬和木鳶,還是現代高端科技產品機器騾,機器魚和撲翼機,都離不開這種轉換。相信在不遠的將來,直線運動機構將會在這些領域發揮更重要的作用。

