簡介
盧瑟福背散射分析或 盧瑟福背散射譜學( Rutherford Backscattering Spectrometry, RBS),有時候被稱為高能離子散射譜學(High-Energy Ion Scattering,HEIS),是一種離子束分析技術,被用在材料科學中,用以分析、測量材料的結構和組成。通過將一束確定能量的高能離子束(通常是質子或α粒子)打到待分析材料上,檢測背向反射的離子的能量,即可確定靶原子的種類、濃度和深度分布。
歷史
阿爾法粒子散射的實驗完成於1909年。在那時代,原子被認為類比於梅子布丁(物理學家約瑟夫·湯姆孫提出的),負電荷(梅子)分散於正電荷的圓球(布丁)。假若這梅子布丁模型是正確的,由於正電荷完全散開,而不是集中於一個原子核,庫侖位勢的變化不會很大,通過這位勢的阿爾法粒子,其移動方向應該只會有小角度偏差。
在盧瑟福的指導下,漢斯·蓋革和歐內斯特·馬斯登發射阿爾法粒子射束來轟擊非常薄、只有幾個原子厚度的金箔紙。然而,他們得到的實驗結果非常詭異,大約每8000個阿爾法粒子,就有一個粒子的移動方向會有很大角度的偏差(甚至超過 90°);而其它粒子都直直地通過金箔紙,偏差幾乎在2°到3°以內,甚至幾乎沒有偏差。從這結果,盧瑟福斷定,大多數的質量和正電荷,都集中於一個很小的區域(這個區域後來被稱作“原子核”);電子則包圍在區域的外面。當一個(正價)阿爾法粒子移動到非常接近原子核,它會被很強烈的排斥,以大角度反彈。原子核的小尺寸解釋了為什麼只有極少數的阿爾法粒子被這樣排斥。
盧瑟福對這奇異的結果感到非常驚異。正如同他後來常說的:“這就好像你朝一張衛生紙射出一枚15吋的炮彈,炮彈卻彈回來打中你一樣。”
盧瑟福背散射盧瑟福計算出原子核的尺寸應該小於 。至於其具體的數值,盧瑟福無法從這實驗決定出來。
微分截面
盧瑟福計算出來的微分截面是
盧瑟福背散射
盧瑟福背散射
盧瑟福背散射
盧瑟福背散射
盧瑟福背散射其中, 是截面, 是立體角,q是阿爾法粒子的電荷量,Q是散射體的電荷量, 是真空電容率,E 是能量, 是散射角度。
原子核最大尺寸
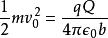
盧瑟福背散射假設阿爾法粒子正面碰撞於原子核。阿爾法粒子所有的動能( ),在碰撞點,都被轉換為勢能。在那一剎那,阿爾法粒子暫時是停止的。從阿爾法粒子到原子核中心的距離 b是原子核最大尺寸。套用庫侖定律,
盧瑟福背散射其中,m是質量,v是初始速度。
重新編排,
盧瑟福背散射
盧瑟福背散射
盧瑟福背散射
盧瑟福背散射
盧瑟福背散射
盧瑟福背散射
盧瑟福背散射阿爾法粒子的質量是 ,電荷量是 ,初始速度是 ,金的電荷量是 。將這些數值代入方程,可以得到撞擊參數(真實半徑是 )。這些實驗無法得到真實半徑,因為阿爾法粒子沒有足夠的能量撞入 27fm半徑內。盧瑟福知道這問題。他也知道,假若阿爾法粒子真能撞至 7.3 fm半徑,直接地擊中金原子核,那么,在高撞擊角度(最小撞擊參數 b),由於位勢不再是庫侖位勢,實驗得到的散射曲線的樣子會從雙曲線改變為別種曲線。盧瑟福沒有觀察到別種曲線,顯示出金原子核並沒有被擊中。所以,盧瑟福只能確定金原子核的半徑小於27 fm 。
1919 年,在盧瑟福實驗室進行的另一個非常類似的實驗,物理學家發射阿爾法粒子於氫原子核,觀察到散射曲線顯著地偏離雙曲線,意示位勢不再是庫侖位勢。從實驗數據,物理學家得到撞擊參數或最近離距(closest approach)大約為3.5fm 。更進一步的研究,在盧瑟福實驗室,發射阿爾法粒子於氮原子核和氧原子核,得到的結果,使得詹姆斯·查德威克和工作同仁確信,原子核內的作用力不同於庫侖斥力。
套用
現今,套用這些年累積的散射原理與技術,盧瑟福背散射譜學能夠偵側半導體內的重金屬雜質。實際上,這技術也是第一個在月球使用的實地分析技術。在勘察者任務(surveyor mission)降落於月球表面後,盧瑟福背散射譜學實驗被用來收集地質資料。
彈性反衝探測分析技術是一種離子束分析技術,被用在材料科學中,用以分析、測量固體或薄膜材料中某種元素的深度分布。 使用加速器將某一能量的離子束打到待測樣品上,離子與靶固體中的某種元素的原子發生彈性碰撞,一般是由庫侖力造成的。通過入射離子的動能、彈性碰撞反應截面、散射離子損失的能量等參數,可以檢測待測原子在樣品中不同深度的富集程度,即不同深度處某種原子所占的比例。
參見
•盧瑟福散射
•彈性反衝探測分析
•湯姆孫散射
•散射理論
