定義
(change of percentage into decimal)
百分數化小數是分數的一種恆等變形,指將百分數通過一定的法則化為小數的運算。
只要把百分號去掉,將小數點向左移動兩位,就將原來的百分數化為小數了,例如,將 36% 的百分號去掉,並把小數點向左移動兩位,得36%=0.36。
百分數化分數
百分數化分數是分數的一種恆等變形,指將百分數通過一定的法則化為分數的運算。即先把百分數改寫成分數,能約分的要約成最簡分數。例如
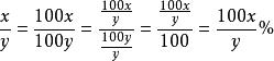
分數化百分數
分數化百分數是百分數化分數的逆運算。指將分數通過一定的法則化為百分數的運算。
百分數化小數百分數
百分數是以分母是100的特殊分數,其分子可不是整數。百分數表示一個數是另一個數的百分之幾,表示一個比值不帶單位名稱。
百分比是一種表達比例,比率或分數數值的方法,如82%代表百分之八十二,或82/100、0.82。 成和 折則表示十分之幾,舉例如“七成”和“七折”,代表70/100或70%或0.7。
小數
小數由整數部分、小數部分和小數點組成。當測量物體時往往會得到的不是整數的數,古人就發明了小數來補充整數 小數是十進制分數的一種特殊表現形式。分母是10、100、1000……的分數可以用小數表示。所有分數都可以表示成小數,小數中除無限不循環小數外都可以表示成分數。無理數為無限不循環小數。

