簡介
在數學裡面, 疊代冪次(亦作 超-4運算),或可理解為疊代乘方、冪塔運算和超冪運算、廣義冪指函式 等,是專指冪的下一個超運算級別。以下列舉了首四個超運算級別,其中 疊代冪次為第四級。
定義
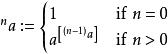
疊代冪次對於任何正實數 a及非負整數 n, 被定義為:
疊代冪次疊代乘方
通常的解釋是:
x+x+x=x*3,此3為表示3個相同的x相加;
x*x*x=x^3,此3表示相同的3個x相乘;
x^(x^x)=x^^3,此3表示連續3個x冪指運算且“^^”為新的運算。
可以繼續推廣。這就是疊代冪次的來由 。
從上述定義中可見,當計算被表達成 冪塔的 疊代冪次時,冪運算是先由最深層(以符號來表示,則最高級)的 上標數做起。
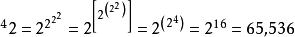
例子如下:
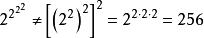
疊代冪次要注意,冪是不遵從結合律的,因此以其他順序來計算上述表達式將會出現不一樣的答案,例如:
疊代冪次因此, 冪塔一定要從上而下(或從右至左)來運算。在電腦程式中,此制式稱為 右結合律。
疊代冪次有多種表示方法,通常有:
疊代冪次標準符號記法: a[4]n 或者;高納德箭號表示法: a↑↑n;ASCII符號: a^^n;
其他如疊代指數法、阿克曼函式法、Hooshmand符號記法、超運算符號等不再贅述。
疊代冪次當 a與 n為互質時,我們可以透過歐拉定理來計算 的最後 m個小數位值。
一般的,x^^0.5 是沒有定義的(注意,它不等於x^0.5)。可以用一個假設解決此問題 。
相關條目
•阿克曼函式
•超運算
