基本介紹
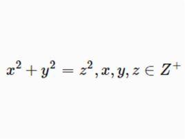
畢達哥拉斯三元數組(Pythagorean triple)亦稱勾股數組,又稱商高數組,是一個著名的不定方程問題,指三元二次不定方程的正整數解。若正整數x,y,z能使x²+y²=z²成立,則(x,y,z)是一個 畢達哥拉斯三元數組 。
本原畢達哥拉斯三元數組
當(x,y,z)=1時,則稱(x,y,z)為本原畢達哥拉斯三元數組。找出所有畢達哥拉斯三元數組就等同於求出不定方程
畢達哥拉斯三元數組的所有正整數解。本原畢達哥拉斯三元數組亦稱為方程(1)的本原解,它有以下性質:
1.若(x,y,z)是滿足方程(1)的本原畢達哥拉斯三元數組,則x,y中有且僅有一數為偶數。因此,z必為奇數。
畢達哥拉斯三元數組2.若(x,y,z)是滿足方程(1)的本原畢達哥拉斯三元數組,且設x為偶數,則存在正整數m和n,m>n,(m,n)=1,m n(mod 2),能使x=2mn,y=m²-n²,z=m²+n²成立。
畢達哥拉斯三元數組3.若x=2mn,y=m²-n²,z=m²+n²,則(x,y,z)是滿足方程(1)的畢達哥拉斯三元數組。如果還有m>n>0,(m,n)=1和m n(mod 2),則(x,y,z)是本原畢達哥拉斯三元數組。
相關介紹
中國古代數學書《周髀算經》中記載了托古傳聞商高答周公:“故折矩,以為勾廣三,股修四,徑隅五”。說明至少在成書時已經知道方程(1)的一個特解。畢達哥拉斯(Pythagoras)創立畢達哥拉斯學派,在數學方面給出了方程(1)的部分正整數解,後被歐幾里得(Euclid)記入《幾何原本》中,並把表達直角三角形三邊關係的(1)式稱為畢達哥拉斯定理。費馬(P.deFermat)從1637年開始對丟番圖(Diophantus)的《算術》進行評註,導致他提出了在數論發展史上非常重要的10個問題,其中有3個與勾股數組有關的問題是:
1.形如4n+1的素數能夠而且只能夠以一種方式表達為兩個平方數之和。1749年,歐拉(L.Euler)已給出了證明。近代有人把素數p=x²+y²中的x,y具體表示為p=(s(r)/2)²+(s(n)/2)²,其中r,n滿足勒讓德符號
畢達哥拉斯三元數組並且
畢達哥拉斯三元數組2.每一個正整數能夠表成四個整數的平方和(參見“華林問題”)。
3.不定方程x +y =z²,(x,y)=1,沒有xy≠0的整數解。
還有一個與畢達哥拉斯三元數組有關的猜想:設(x,y,z)是滿足不定方程(1)的畢達哥拉斯三元數組,a,b,c∈Z,且滿足x +y =z ,則a=b=c=2,此猜想仍未徹底解決 。

