簡述
環刀環刀是用來取原狀土(未擾動)實驗用樣的一種常用儀器,用來做容重、壓縮、剪下和滲透等試驗。短管狀鋼製品,一頭有刃。
環刀的使用
使用時應刃向下,在切取土樣時避免歪斜,使其垂直均勻受力下切,使用前可將環刀塗抹少許凡士林。使用完畢後,應將環刀擦洗乾淨並塗一些保護油等,以防生鏽。
環刀自校
環刀是細粒土密度試驗方法中測定土的密度的試驗器具,其結構尺寸應符合技術要求。 技術要求:
1.環刀應有足夠的剛度,內壁應平整、光滑,表面無殘損。
2.環刀尺寸要求:
環刀內徑:70±0.16mm
環刀高度:52±0.16mm
環刀壁厚:2.1±0.10mm
校驗用標準器具
1、遊標卡尺:量程200mm,分度值0.02mm。
2、電子天平:稱量200g,感量0.01g。
檢驗項目和檢定方法
環刀圖冊1.環刀內徑的檢定 用遊標卡尺檢查,檢查環刀內徑時,用手動轉動環刀,每轉動120°角度,用鋼直尺測量環刀內徑一次,連續測量3次,取平均值。
2.環刀高度的檢定
用遊標卡尺檢查,檢查環刀高度在環刀直徑十字對稱的4個方向上量取環刀底面至頂面垂直距離,取平均值。
3.環刀壁厚的檢定
用遊標卡尺檢查測環刀壁厚,用手動環刀,每轉動120°角度,用遊標卡尺測量壁厚一次,連續測量3次,取平均值。
檢定結果處理
1.環刀應全部符合技術要求方為合格。
2.檢定周期為一年。
套用
土壤容重的測定
本方法適用於一般礫石含量較少的礦質土壤容重的測定,不適用於堅硬和易碎的土壤。
原理
土壤容重系指單位容積烘乾土的質量,容重小,表明土壤較疏鬆,通透性好,肥力較高;反之,土壤容重大,表明土體緊實,結構性和通透性較差。測定土壤容重通常採用環刀法,用一定容積的環刀切割代表性的原狀土,使土樣充滿其中,稱量後計算單位容積的烘乾土(105℃)質量。
儀器
環刀,不鏽鋼,容積100cm ;環刀托;削土刀。
操作步驟
(1)選具有代表性的地段,先在采土處用鐵鏟剷平。將環刀托放在已知質量的環刀(精確至0.01g)上,環刀內壁稍擦上凡士林,將環刀刃口向下垂直壓入土中,直至環刀筒中充滿土樣為止。通常表層土壤需采5個重複樣品,下層土壤需按層次每層采3個重複樣品。
(2)用削土刀切開環周圍的土樣,取出已充滿土的環刀,用削土刀細心削平環刀兩端多餘的土,並擦淨環刀外面的土,立即加蓋以免水分蒸發。 圖1 為環刀及取樣示意圖。
(3)將盛有土樣的環刀除去頂蓋,然後放入烘箱中,在105℃±2℃下烘乾4h,再在乾燥器中冷卻後稱至恆量(精確至0.01g)。
結果計算
按下式計算土壤容量:
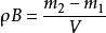
環刀式中:
ρ——土壤容量,g/cm ;
m——環刀的質量,g;
m——環刀+烘乾土質量,g;
V——環刀容積,cm 。
6 允許差
樣品進行兩份平行測定,取其算術平均值,取兩位小數。兩份平行測定結果允許差為0.03g/cm 。
環刀法測定壓實度
1、本方法規定在公路工程現場用環刀法測定土基及路面材料的密度及壓實度。
2、本方法適用於細粒土及無機結合料穩定細粒土的密度。但對無機結合料穩定細粒土,其齡期不宜超過2d,且宜用於施工過程中的壓實度檢驗。
儀具與材料
本試驗需要下列儀具與材料:
1、人工取土器:包括環刀、環蓋、定向筒和擊實錘系統(導桿、落錘、手柄)。
2、天平:感量0.1g(用於取芯頭內徑小於70mm樣品的稱量),或1.0g(用於取芯頭內徑100mm樣品的稱量)。
3、其它:鎬、小鐵鍬、修土刀、毛刷、直尺、鋼絲鋸、凡士林、木板及測定含水量設備等。
方法與步驟
1、按有關試驗方法對檢測試樣用同種材料進行擊實試驗,得到最大幹密度(ρ dmax)及最佳含水量(w)。
2、用人工取土器測定砂性土或砂層密度時的步驟:
(1)擦淨環刀,稱取環刀質量M,準確至0.1g。
(2)在試驗地點,將面積約30cm×30cm的地面清掃乾淨,並將壓實層鏟表面浮動及不平整的部分,達一定深度,使環刀打下後,能達到要求的取土深度,但不得將下層擾動。
(3)將定向筒齒釘固定於剷平的地面上,順次將環刀、環蓋放入定向筒內與地面垂直。
(4)將導桿保持垂直狀態,用取土器落錘將環刀打入壓實層中,至環蓋頂面與定向筒上口齊平為止。
(5)去掉擊實錘和定向筒,用鎬將環刀試樣挖出。
(6)輕輕取下環蓋,用修土刀自邊至中削去環刀兩端余土,用直尺檢測直至修平為止。
(7)擦淨環刀壁,用天平稱取出環刀及試樣合計質量M1,準確至0.1g。
(8)自環刀中取出試樣,取具有代表性的試樣,測定其含水量(w)。3、本試驗須進行兩次平行測定,其平行差值不得大於0.03g/cm 。求其算術平均值。
三、計算
按式計算試驗的含水量。
環刀
環刀式中: —含水率(%),計算至0.1;
m—濕土質量(g);
m—乾土質量(g)。
按下式計算試樣的濕度及乾密度:
環刀
環刀式中:ρ——試樣的濕密度(g/cm );
ρd——試樣的乾密度(g/cm );
m1——環刀與試樣合計質量(g);
m2——環刀質量(g);
V——環刀體積(cm );
環刀——試樣的含水量(%)。
按下式計算施工壓實度:
環刀式中:K——測試地點的施工壓實度(%);
ρd——試樣的乾密度(g/cm );
ρdmax——由擊實試驗得到的試樣的最大幹密度(g/cm )。
報告試驗應報告土的鑑別分類、土的含水量、濕密度、乾密度、最大幹密度、壓實度等。

