簡介
狄塞爾(Diesel)循環又稱為定壓加熱循環。狄塞爾循環是由兩個絕熱過程和一個等壓過程和一個等容過程所構成的循環。
最典型的四衝程柴油機採用的就是狄塞爾循環。
狄塞爾循環的Bucher圖
Bucher圖的兩個特性是 :
1)能夠表示熱量與功的守恆關係,圖中兩平行線在橫軸上的投影分別表示Q2、Q1、W。它們的符號規定與熱學習慣相同,即流入系統的熱量為正,流出為負;系統對外界做功為正,反之為負。即:
狄賽爾循環
狄賽爾循環2)能夠表示循環過程熵守恆。圖中經過O點的斜線將第二條線分為兩段,這兩段在水平線的投影恰為Q1、W,同時使Q2、Q1滿足熵守恆,即。
狄賽爾循環
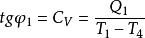
狄賽爾循環狄塞爾循環是由兩個絕熱過程和一個等壓過程和一個等容過程所構成的循環。因為兩個吸熱和放熱過程和熱容量不相等,因此在Bucher圖上只能用兩條斜率不同的斜線代替卡諾循環Bucher圖的兩條平行線。兩條斜線在橫軸上的投影仍表示Q2、Q1、W。同時考慮到熵守恆,可逆狄塞爾循環的Bucher圖如圖所示。圖中的正切分別表示兩個多方過程的熱容量:
狄賽爾循環
狄賽爾循環
狄賽爾循環
狄賽爾循環四衝程柴油機
如圖為柴油機的四個衝程示意圖:
狄賽爾循環
狄賽爾循環特點
(1)燃料的燃燒不是靠火花點燃,而是靠壓燃;
(2)吸入的不是混合氣體而是空氣。
仍有四個衝程:
(1)吸氣衝程:等壓
(2)壓縮衝程:絕熱
(3)動力衝程(工作衝程:先等壓膨脹然後絕熱膨脹
(4)排氣衝程:等體放熱
狄賽爾循環(1)吸氣過程0→1
(2)壓縮過程1 → 2
(3)作功過程2 → 3
(4)排氣過程4 →1 →0
效率計算
狄賽爾循環
狄賽爾循環
狄賽爾循環1-2, 3-4 是絕熱過程,由泊松公式:
狄賽爾循環
狄賽爾循環
狄賽爾循環
狄賽爾循環其中,,比熱比。
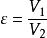
狄賽爾循環壓縮比:。
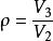
狄賽爾循環定壓膨脹比:。
狄賽爾循環效率與壓縮比、定壓膨脹比的關係
狄賽爾循環狄賽爾循環效率:
狄賽爾循環壓縮比:。
狄賽爾循環定壓膨脹比:。
狄賽爾循環
