定義
凡是設計用來拖拽重物的機械裝置,只有當動輪或履帶與路面產生足夠的牽引力時,機械引擎的動力才能轉化為牽引之效力。如果沒有足夠的牽引力,則雖然開足馬力,但是只能使車輪或者履帶在路面上空轉。因此,輪胎或履帶與各路面之間的牽引係數,對於運輸機械尤為重要。
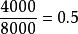
牽引係數牽引係數的定義是動輪或履帶之上的總載荷與動輪發生空轉之前,其與路面之間產生最大牽引力的比值。例如一輛卡車停在乾平土地上,輪胎與路面之間的總壓力為8000磅。對車輪施與推動力做空轉實驗,發現當輪與路面之間牽引力為4000磅時,車輪發生空轉,則其牽引係數為
性質
牽引係數值越大,表明汽車在這種地面上的牽引儲備能力越強。
牽引係數表輪胎與路面之間的牽引係數與路面狀況和輪紋形式有關。履帶與路面之間的牽引係數則與履帶設計和路面狀況有關。由於影響因素過多,所以難以獲得精確的牽引係數數值。履帶與輪胎和各路面之間近似牽引數值如圖所示。
套用
根據功用的要求,採用不同的指標來評價不同類型的越野車輛的工作特性。對拖拉機來說,其主要功用是提供足夠的牽引力,以拖帶各種工具和機器,因此,其牽引性能最為重要。牽引性可用牽引力對車重之比、牽引功率和牽引效率來表征。對越野運輸車輛,是以運輸生產率及其效率作為評價其性能的主要指標。而另一方面,對軍用車輛來說,是以在已知區域內兩規定點間能夠實現的最大工作速度作為評價其機動性的指標。
儘管用不同的指標來評價不同類型的車輛,但對所有車輛來說,有一個共同的基本要求,就是在未整備過的地面上車輛的機動性。廣義來說,機動性就是與車輛在軟地面上的性能,即超越和躲避障礙、通過粗糙不平地面的行駛平順性和涉水等有關。
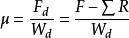
在評價越野車輛的牽引性能時,牽引力F對作用在車輛驅動輪上的車輛重量W之比,通常稱為牽引力係數μ。該參數廣為使用並用下式表示:
牽引係數
牽引係數其中F為驅動力, 為滾動阻力的合力。
應當指出,由於牽引力是滑轉率的函式,不同車輛的牽引力係數應在同一滑轉率下進行比較。

