產生背景
現代蒸汽動力廠循環,即使採用了超高蒸汽參數,回熱、再熱等措施,其熱效率仍不超過40%。也就是說,燃料燃燒時釋放出的熱能中有大部分沒有得到利用,其中通過凝汽器冷卻水帶走而排放到大氣中去的能量占總能量的50%以上。這部分熱能雖然數量很大,但因溫度不高(例如排氣壓力為4 kPa時,其飽和溫度僅有29℃)以致難以利用。所以普通的火力發電廠都將這些熱量作為“廢熱”隨大量的冷卻水丟棄了。與此同時,廠礦企業常常需要壓力為1.3 MPa以下的生產用汽,房屋採暖和生活用熱常常要用0.35 MPa以下的蒸汽作為熱源。
定義
利用發電廠中做了一定數量功的蒸汽作供熱熱源,可大大提高燃料利用率,這種既發電又供熱的電廠叫做熱電廠。熱電廠這種既發電又供熱的動力循環稱為熱電循環。為了供熱,熱電廠需裝設背壓式或調節抽氣式汽輪機,因此相應的有兩種熱電循環。
背壓式熱電循環
背壓式汽輪機
排汽壓力高於大氣壓力的汽輪機稱為背壓式汽輪機。這種系統沒有凝汽器,蒸汽在汽輪機內做功後仍具有一定的壓力,通過管路送給熱用戶做為熱源,放熱後,全部或部分凝結水再回到熱電廠。
缺點
由於提高了汽輪機的排汽壓力,蒸汽中用於做功(發電)的熱能相應減少,所以背壓式熱電循環的循環熱效率比單純供電的凝汽式朗肯循環有所降低。另一方面,供熱與供電互相牽制,難以同時單獨滿足用戶對於熱能和電能的需要。
優點
背壓式熱電循環的熱能利用率高,而且不需要凝汽器,使設備簡化。由於熱電循環中乏汽的熱量得到了利用,所以從總的經濟效果來看,熱電循環要比簡單的朗肯循環優越的多。
經濟指標
為了全面地評價熱電廠的經濟性,除了循環熱效率外,常引用熱能利用率K這樣一個經濟指標,即所利用的能量與外熱源提供的總能量的比值。
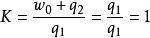
熱電循環如果不考慮動力裝置及管路等的熱損失,背壓式熱電循環的熱能利用率為,可知背壓式熱電循環的熱能利用率很高,實際上由於熱負荷和電負荷不能完全配合和存在各種損失,K值為0.65~0.7。
調節抽氣式熱電循環
背景
背壓式熱電循環的熱能利用率高,但此種循環有一個很大的缺點,就是供熱與供電互相牽制,難以同時單獨滿足用戶對於熱能和電能的需要。為了解決這個矛盾,熱電廠常採用調節抽氣式汽輪機。
原理
調節抽氣式熱電循環是利用汽輪機中間抽汽來供熱的。蒸汽在調節抽汽式汽輪機中膨脹至一定壓力時,被抽出一部分送給熱用戶;其餘蒸汽則經過調節閥繼續在汽輪機內膨脹做功,乏汽進入凝汽器。凝結水由水泵送入混合器,然後與來自熱用戶的回水一起送入鍋爐。
主要優點
這種熱電循環的主要優點是能自動調節熱電出力,保證供氣量和供氣參數,從而可以較好地滿足用戶對熱、電負荷的不同要求。
熱能利用率
通過汽輪機高壓段及熱用戶的那部分蒸汽實質是進行了一個背壓式熱電循環,熱能利用率K=1通過凝汽器的那部分蒸汽則進行了普通的朗肯循環。所以,就整個調節抽氣式熱電循環而言,其熱能利用率介於背壓式熱電循環和普通朗肯循環之間。
熱電循環這裡需要指出的是,機械能和熱能二者是不等價的,即使兩個循環的K相同,熱經濟性也不一定相同。所以,同時用K和來衡量熱電循環的經濟性才比較全面。

