性質
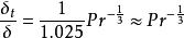
熱邊界層指研究對流換熱問題時,所構想的流體的溫度變化全部集中於其中的一流體薄層。是邊界層理論中的基本概念之一。如溫度為t的流體縱向掠過壁面溫度為t(t)的無限寬平板時,流體與平板之間將進行對流換熱; 此時除非流體的導熱係數很大(如液態金屬),否則流體的溫度也和速度一樣,只在貼近板面的一薄層中才有顯著的變化,因而形成了 “溫度邊界層”。實驗表明,其厚度δ總是沿流動方向隨著板長x值的增加而逐漸增大(見附圖)。若以δ表示速度邊界層的厚度,則δ與δ之間的大小關係取決於流體的物理性質,即取決於普朗特準則Pr的大小。當Pr=1時, δ=δ;Pr<1時,δ>δ; Pr>1時, δ<δ。
套用
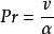
熱邊界層式中:δ表示速度邊界層的厚度;
熱邊界層表示溫度邊界層的厚度;
熱邊界層Pr表示普朗特準則, ,為無量綱數群,是反映流體物性對換熱影響的一個準則。
上式確定了常物性流體外掠常壁溫平板層流換熱時熱邊界層的厚度。
熱損失
對於層流熱邊界層,管內的熱損失主要是導熱。對於紊流熱邊界層,管內的熱損失主要是對流。熱邊界層管道的整個熱損失是比較小的,若保溫層絕熱良好,熱量損失就可以被保溫層隔絕。此外,採用管溝敷設形式既能對管道進行檢修,又能起到減小熱損失的效果。
意義
利用溫度邊界層的概念常可使對流換熱溫度場和對流換熱係數的分析求解大為簡化。
熱邊界層流動邊界層和熱邊界層的狀況決定了邊界層內的溫度分布和熱量傳遞過程。
對於層流,溫度呈多項式曲線弄分布,對於紊流則呈冪函式型分布(除液態金屬外),紊流區邊界層貼壁處的層流底層內溫度梯度將明顯大於層流區。
在概述圖中,標繪了局部表面傳熱係數h沿平板的變化情況,從平板前緣開始,隨著層流邊界層增厚,h將較快的降低。當層流向紊流轉變後,因紊流傳遞作用增大,h將明顯高於層流轉變前,隨後,由於紊流邊界層厚度增加,h再呈緩慢下降之勢。將局部表面傳熱係數沿全板長積分,可得全板平均表面傳熱係數h。

