定義
如果溫度為Ts的固體表面被溫度為Tg的氣體包圍,通過固體表面的平均能量流等於單位時間內碰向固體表面的氣體分子所帶來的能量和離開表面(反射)分子帶走的能量之差。落向固體表面那部分氣體傳給固體的能量為Eg,它等於相應各分子傳遞能量的總和;離開固體表面那部分氣體實際帶走的能量為Er,它等於相應各分子帶走能量的總和;若是理想情況,則離開固體表面的氣體應帶走的能量為Es。氣體分子同固體壁面碰撞時能量交換的完全程度(或熱交換效率)是用熱適應係數表示。
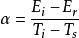
熱適應係數熱適應係數定義為:
熱適應係數對於單原子以及雙原子氣體,分子的能量主要是平移動能和轉動動能(單原子氣體的轉動動能很小),且均同溫度成正比,於是熱適應係數也可表示為,其中,,,分別對應上述三種能量的熱力學溫度。
影響因素
熱適應係數同很多因素有關,主要有氣體的種類,固體表面的分子結構、物理狀態和污染程度(是否附著有其它物質或是否吸附有其它氣體的分子),以及氣體同固體壁面的溫度差等。
計算
熱適應係數可用試驗方法確定,其值是在1~0之間變化。低溫技術中常用氣體在不同情況下熱適應係數的值可參閱文獻。計算雙原子分子或更複雜的分子的熱適應係數時,除了考慮平動能量外,還需考慮它們的轉動能量和振動能量的貢獻,公式需要修正。在精確計算太空飛行器的軌道參數及其在空間運行的壽命時,要用到氣體分子的熱適應係數。

