簡介
熱通量或熱通量,有時也被稱為熱通量密度[1]或熱流量強度是每單位時間每單位面積的能量流量。在SI中,其單位是瓦特每平方米(W⋅m )。它既有方向又有量級,所以它是一個向量。為了確定空間某一點的熱通量,需要考慮表面尺寸無限小的極限情況。
傅立葉定律是這些概念的重要套用。
傅立葉定律
對於通常情況下的大多數固體,熱量主要通過傳導來傳遞,而熱通量則由傅立葉定律充分地描述。
傅立葉定律在一個維度
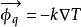
與溫度分布相關的熱通量T(X)的在導熱材料中k可由下式得到:
熱通量負號表示熱通量從較高溫度區域移動到較低溫度區域。
多維擴展
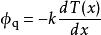
多維情況類似,熱通量“下降”溫度梯度,因此:
熱通量
熱通量
熱通量是梯度運算元和是熱導率。
熱通量分類
大地熱流密度示意圖依據熱傳導方式的不同,熱通量分為傳導熱通量(傳導熱流密度)、輻射熱通量(輻射熱流密度)和對流熱通量(對流熱流密度) 對於不同的套用,熱通量的名稱還有如:大地熱通量(也稱大地熱流密度,土壤熱通量),它是大地(土壤)中熱傳導方式的表述;感熱通量是物體在加熱或冷卻過程中,溫度升高或降低而不改變其原有相態所需吸收或放出的熱量通量;潛熱通量是物質發生相變(物態變化)且溫度不發生變化時吸收或放出的熱量通量。
測量熱通量
熱通量的測量可以以幾種不同的方式進行。通常已知但通常不切實際的方法是通過測量具有已知導熱率的一塊材料上的溫差來進行的。這種方法類似於測量電流的標準方法,其中測量已知電阻上的電壓降。通常這種方法很難執行,因為被測試材料的熱阻通常是未知的。為了確定熱阻,需要準確的材料厚度和熱導率值。利用熱阻以及材料兩側的溫度測量,可以間接計算熱通量。
測量熱通量的第二種方法是通過使用熱通量感測器或熱通量感測器來直接測量傳遞到熱通量感測器所安裝到的表面的熱量的量。最常見的熱通量感測器類型是差示溫度熱電堆,其基本上與所提到的第一種測量方法相同,除了其具有的優點是熱阻/傳導率不需要是已知的參數。由於熱通量感測器能夠通過使用塞貝克效應實現對現有熱通量的現場測量,因此不必知道這些參數。但是,差熱電堆熱通量感測器已經在為了進行校準,以涉及它們的輸出信號[μV]到熱通量值[W/(m ⋅K)]。一旦熱通量感測器被校準,它就可以用來直接測量熱通量,而不需要罕見的熱阻或熱傳導值。
熱通量儀器
用於測量熱通量的感測器稱為熱通量感測器,也稱熱流感測器。
用於測量熱通量的儀器稱為熱通量計,也稱熱流計。

