簡介
照度的第一定律:在用點光源照明時,與光線垂直的物體表面上的照度跟光源的發光強度或正比,跟被照亮的面到光源的距離平方成反比。照度的第二定律:用平行光線照射物體時,物體表面上的照度跟光線的入射角的餘弦成正比。
照度第一定律
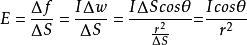
照度定律的表達式,是用來計算被點光源照明的物體,其表面被照明的程度的。該定律描述了點光源的發光本領、影響照明效果的因素與光照度之間的關係,具體表述如下:點光源所產生的光照度E與其發光強度I成正比,與被照物體表面至點光源之間的距離r的平方成反比,可以用以下公式表示:
照度定律式中△f=I△w為點光源θ方向△w立體角範圍內發射的光通量(單位lm);△w為點光源發射輻射的立體角範圍(單位:Sr);△S為被照物體表面面積(單位m );θ為發射方向與被照物體表面法線間的夾角(單位°);r為被照物體表面至光源之間的距離(單位m)。
定律描述
光的強弱由兩個因素決定:(1)光源的發光強度;(2)被照射對象和光源之間的距離。人工光條件下照度與光源距離的平方成反比即 :
E=I/R
E為照度;R為對象至光源的距離;I為光源發光強度。
照度第二定律
對於平行光,照度定律可以如下公式表達:
E = E cosθ
式中θ為表面法線與光線的夾角(單位°);E為光線從θ方向射來時表面的光照度(單位lx);E為光線與表面法線平行時表面的光照度(單位lx)。
