簡介
無焦系統(afocal system)也稱為 遠焦系統或 焦外系統,是指對光束沒有淨髮散或淨聚焦的光學系統,也就是說光學系統的等效焦距為無限大,這種光學系統可以用一對光學元件組成,在其距離等於其元件焦距和( d= f+ f)時即有此特性。像光學望遠鏡就是無焦系統,進入光學系統的光是來自無窮遠處,而成像也是在無窮遠處(光線為平行光)。
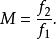
無焦系統不會將平行光聚焦或是發散,但會改變光束的寬度,增加望遠鏡放大倍數。其放大倍數如下
無焦系統在雷射光學中會用到無焦系統,例如擴束器、紅外線及前視紅外線系統、相機變焦鏡頭、像teleside轉換器等望遠鏡頭配件以及結合相機及望遠鏡的無焦攝影。
光學望遠鏡
光學望遠鏡是用於收集可見光的一種望遠鏡,並且經由聚焦光線,可以直接放大影像、進行目視觀測或者攝影等等,特別是指用於觀察夜空,固定在架台上的單筒望遠鏡,也包括手持的雙筒鏡和其他用途的望遠鏡。
光是由光子構成,而專業的望遠鏡會由電子探測器來收集光子。光學望遠鏡有三種主要的形式:折射望遠鏡(使用凸透鏡折射聚焦)、反射望遠鏡(以鏡片反射光線並聚焦)和使用透鏡和反射鏡片組合的折反射望遠鏡(複合式望遠鏡),如馬克蘇托夫望遠鏡和史密特攝星鏡。
焦距
焦距,也稱為 焦長,是光學系統中衡量光的聚集或發散的度量方式,指從透鏡中心到光聚集之焦點的距離。亦是照相機中,從鏡片光學中心到底片、CCD或CMOS等成像平面的距離。具有短焦距的光學系統比長焦距的光學系統有更佳聚集光的能力。
相關條目
•透鏡
•teleside轉換器
•伽利略望遠鏡,使用此設計理念。
