介紹
機體坐標系
滾轉飛機作為具有6個自由度的物體,在天空中飛行受到的力或力矩可以簡化為:X、Y、Z上的合力和圍繞他們的力矩三個力矩:滾轉力矩、俯仰力矩和偏航力矩。其中繞機體坐標系x軸的力矩分量就是滾轉力矩,會引起航空器向左側或向右側傾斜。
滾轉力矩關係到飛機的橫側向平衡,當作用於航空器機身兩側的滾轉力矩彼此相等,則航空器既不向左滾轉,也不向右滾轉。
組成
滾轉力矩
滾轉力矩
滾轉力矩
滾轉力矩
滾轉力矩
滾轉力矩
滾轉力矩
滾轉力矩
滾轉力矩
滾轉力矩滾轉力矩包括:側滑角 引起的滾轉力矩 ;副翼偏轉角 引起的滾轉力矩 ;方向舵偏轉角 引起的滾轉力矩 ;滾轉角速度引起的滾轉力矩和偏航角速度 引起的滾轉力矩 。
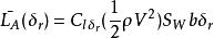
側滑角引起的滾轉力矩
滾轉力矩
滾轉力矩其中 為橫滾靜穩定性導數。
滾轉力矩時,飛機具有橫滾靜穩定性;
滾轉力矩時,飛機為橫滾靜不穩定的。
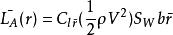
副翼偏轉角引起的滾轉力矩
稱為滾轉操縱(控制)力矩
滾轉力矩
滾轉力矩
滾轉力矩其中 為滾轉操縱導數,
當副翼正向偏轉時,即“左上右下”偏轉,此時相當於右機翼的翼型彎度增大;而左機翼的翼型彎度減小。所以右機翼的升力增大,而左機翼的升力減小,故此將產生負的滾轉力矩。
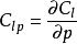
方向舵偏轉角引起的滾轉力矩
稱為操縱交叉力矩
滾轉力矩
滾轉力矩
滾轉力矩其中為方向舵操縱交叉導數,。
當方向舵正向偏轉時,即方向舵的後緣向左偏轉將產生正的側力,一般氣動布局的方向舵都在x軸之上,則產生正的滾轉力矩。
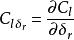
滾轉角速率引起的滾轉力矩
即滾轉阻尼力矩,主要由機翼產生,平尾和垂尾也有一定影響,為阻尼力矩
滾轉力矩
滾轉力矩
滾轉力矩
滾轉力矩其中,為滾轉阻尼力矩,。
飛機正向滾轉,向右滾轉,右機翼下行,左機翼上行,因為下行速度分量與飛機速度V疊加,形成一個迎角增大了的速度合量,所以右機翼升力增加;反之,左機翼升力減小,飛機左滾。
偏航角速率引起的滾轉力矩
即交叉動態力矩,由左右翼速度差造成
滾轉力矩
滾轉力矩
滾轉力矩
滾轉力矩其中,為滾轉阻尼力矩,。
偏航角速度大於零,即左機翼向前,右機翼向後運動。由於左機翼向前運動,其相對空速增加,升力增加;反之,右機翼升力減小,飛機右滾。
影響因素
著陸瞬間被大風吹歪影響航空器的橫側平衡的因素主要有燃油的加裝和利用方式、貨物裝載情況和滾動情況、空氣流的作用等。因此加油和耗油時都要保持左右機翼等量。尤其對於寬體航空器,裝載貨物時要保證機身兩側的載量相差不大,同時固定穩固,避免貨物在航空器失去橫側平衡時向一側滾動而加重不平衡的程度。
當由於某種原因使航空器失去橫側平衡時,可以通過改變某側機翼的副翼角度而使航空器恢復橫側平衡。例如當航空器向左側滾轉時,則增大左側副翼放下角度使左側升力增大,就使向右滾轉的力矩增大,使航空器重新回到橫側平衡狀態。

