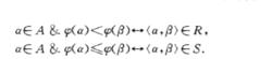
準良序性(prewellordering)集合類的一種比約化性質更強的性質.集合類r有準良序性是指:對每個AEr,都存在從A到序數的函式滬,以及r的對偶廣中的二元關係R,S,滿足條件:對任何刀EA,
準良序性 記為P}cr}.只要r對有限並、有限交和連續前像映射封閉,則P‑,o}Reduction (r ) ; h/p (1成PGP}(藝忿));CA集是準良序性的,即P} ( II,這是已有的經典結果.莫斯卻瓦基斯(Moschovakis ,Y. S.)首先給出準良序性的抽象概念,他還證明了P}( IIn) -> P}(}n+O,因而得P}(}}),即PCA集類也是準良序的.
