滴定法
方法原理
將樣品溶解在混合試劑中,用標準的氫氧化鉀溶液滴定存在的游離脂肪酸。
試劑
乙醚;
95%乙醇;
0.1mol/L氫氧化鉀標準溶液:按GB/T601製備標定。
中性混合試劑:乙醚+95%乙醇,1+1(V+V)
指示劑:1%酚酞乙醇溶液
方法
游離脂肪酸含量參照表1稱取試樣注入錐形瓶中,加入中和的混合溶劑100mL,加入酚酞指示劑0.5mL,用0.1mol/L氫氧化鉀溶液滴定至粉紅色(持續30sec)。
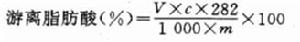
結果計算
游離脂肪酸含量式中:V——所用標準氫氧化鉀溶液的體積,mL;
C——所用標準氫氧化鉀溶液的濃度,mol/L
56.1——氫氧化鉀摩爾質量,g/mol
m——試樣的質量,g
近紅外光譜法
儀器與試劑
Antaris II FT-NIR 型光譜儀,配TQ Analyst 8,、Result Integrantion 和Result Operation軟體
酚酞-乙醇溶液:10g/L
中性混合試劑:乙醚95%(體積分數)乙醇體積1:1組成的混合溶液。
儀器工作條件
樣品台溫控模組溫度設定為60℃, 60選擇透射掃描模式,掃描波數4000-12000cm-1,掃描次數為32次,解析度為8cm-1。
試驗方法
採集光譜前儀器預熱1h。採用滴管移取少量樣品於樣品管中, 將樣品管插入樣品台中的杯架中。先進行參比(空氣)掃描,參比掃描結束後,再掃描樣品。採用TQ Analyst8軟體進行數椐處理,以偏最小二乘(PLS)回歸算法建立模型,將樣品分為校正集和驗證集。採用校正集樣品建立校正模型並採用驗證集樣品進行驗證,最後根據校準決定係數、內部交叉驗證決定係數、預測決定係數、驗證均方差(RMSEC)、交叉驗證標準差(RMSECV)及預測標準差(RMSEP)等指標確定最優校正模型。
氣相色譜法
游離脂肪酸
取樣品,於100mL 離心管中,加入二氯甲烷-甲醇溶液( V/V = 2∶1),0.0001g,然後勻漿、4000r /min 條件下離心5min; 取出離心管後,分別取下層溶液和上層溶液於具塞試管中,加入20%的0.88% KCl 溶液後混勻,過夜分層後取下層液體真空乾燥,所得物質即為粗脂肪。當得到總脂肪後,加入酮-甲醇溶液( v /v = 2∶1) 和Amberlyst-A26 陰離子交換樹脂於恆溫振盪器中震盪2h 後去除溶液,用丙酮-甲醇溶液洗5 次( 共用20mL) ,最後在通風櫥中用氮氣將交換樹脂吹乾後待甲酯化。
甲酯化
在圓底回流瓶中加入提取的油脂或吸附後的樹脂並加5mL 0.5mol /L 的氫氧化鈉甲醇溶液混勻後連線回流裝置。在100℃水浴中加熱回流5min,然後加3mL 三氟化硼- 10% 甲醇溶液反應5min,最後加入2mL 正己烷回流萃取2min,取出冷凝裝置將回流瓶冷卻至室溫後加NaCl 飽和溶液混合,並將其移入具塞試管中,反覆沖洗回流瓶3 次將洗液一併倒入具塞試管中靜置。待分層後吸取上層溶液( 正己烷層) 約lmL 於樣品瓶中,於4℃下保存,以備氣相色譜儀分析。
GC 條件
氣相毛細管柱為Agilent SP-2560,100m × 0.25mm i.d × 0.2μm,柱初始溫度60℃,以8℃ /min 升溫至180℃,1.5℃ /min 升溫至240℃,保持3min; 氣化室溫度250℃; 載氣: N2; 柱流速:1mL /min; 分流比: 30∶1; 進樣量1μL。
數據分析
結果採用與標準品對照法定性及內標定量,並以平均值± 標準偏差( mean ± SD) ( n = 5) 的形式表示。數據採用SPSS 16.0 統計分析軟體進行數據分析,利用方差分析( One-Way ANOVA) 檢驗數值間的差異顯著性,當p < 0.05 時視為具有顯著性差異。
柱前衍生法
油脂水解產物中游離脂肪酸的檢測主要利用氣相色譜法, 但預處理步驟較為繁瑣, 需要通過改變水解產物pH 值或利用薄層色譜預先將游離脂肪酸分離。柱前衍生HPLC 法測定游離脂肪酸不需要分離游離脂肪酸的前處理, 且HPLC 檢測分離溫度較低, 脂肪酸熱降解程度大大降低, 具有氣相色譜法無可比擬的優越性而得到了廣泛的套用。目前, 利用柱前衍生HPLC 法測脂肪水解產物中游離脂肪酸的研究國外已有論文發表。
實驗儀器
Agilent -1100 型高效液相色譜、Zorbax SB -C18柱:美國安捷倫科技有限公司。
色譜條件
洗脫程式:初始流動相∶乙腈∶水(5∶95)經15 min梯度洗脫變化至100 %乙腈, 繼續洗脫17 min ;體積流量1 .6 m L/min ;柱溫:25 ℃;檢測波長254 nm ;進樣量20 μL , 利用外標法進行定量分析。
衍生化處理
準確稱取等量的2 , 4 -二溴苯乙酮和18 -冠-6醚配製成一定濃度的衍生化溶液, 置於4 ℃條件下避光保存;分別稱取肉豆蔻酸、硬脂酸、油酸和亞油酸0 .164 、0 .333 、0 .772 、0 .286 g , 以甲醇和二氯甲烷1∶1(v∶v)混合溶液定容至100 mL 待用。取上述脂肪酸標準溶液0 .15 mL 於具塞反應管中, 加入相應濃度的衍生化試劑3 mL , 另加入0 .4 g 碳酸鉀已形成pH值為8 .3 ~ 8 .5 的緩衝體系。混合物於80 ℃水浴中加熱30 min , 反應液置於4 ℃條件下冷卻1 h , 過0 .45 μm濾膜後, 待HPLC 分析。準確樣品0 .15 g , 以甲醇和二氯甲烷1∶1(v∶v)混合溶液定容至10 mL, 加入1 g 無水硫酸
鈉脫去酶解物中的水, 4 200 r/min 離心5 min , 取上清液0 .15 mL , 按上述中脂肪酸標準品衍生化步驟處理, 所得樣品待HPLC 分析。
統計分析
選用OriginPro 7 .5 軟體(OriginLab Corporation ,Northampton , USA)對數據進行單邊方差分析(ANOVA)。顯著性分析採用LSD 檢驗, 顯著性水平採用0.05。

