簡介
海藻酸
海藻酸中文名稱:海藻酸
中文別名:澡朊酸;藻酸
英文名稱:Alginic Acid
英文別名:Alginic acid [USAN]; Norgine; A 2830-9; Acid Algin G 2; Alginate; Alginic acid; CCRIS 6769; HSDB 2967; Kelacid; Landalgine;Polymannuronic acid; Protanal LF; Satialgine-H 8; Sazzio; Snow acid algin G; UNII-8C3Z4148WZ; Verdyol Super; beta-D-mannopyranuronic acid; methyl 4-O-(4-O-methylhexopyranuronosyl)hexopyranosiduronic acid
CAS:9005-32-7
EINECS:232-680-1
分子式:C14H22O13
分子量:398.3167
物化性質
相對密度:1.67g/cm3
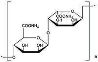
海藻酸(Alginic acid)是由單糖醛酸線性聚合而成的多糖,單體為β-D-甘露醛酸(M)和 α-L-古羅糖醛酸(G)。M和G單元以M-M,G-G或M-G的組合方式通過1,4糖苷鍵相連成為嵌段共聚物。海藻酸的實驗式為(C6H8O6)n,分子量範圍從1萬到60萬不等。
鑑別方法
(1) 取本品約30mg,加氫氧化鈉液(0.1mol/L)5ml,振搖使溶解,加氯化鈣試液1ml,用玻璃棒攪拌,產生膠狀沉澱物粘於玻璃棒上。
(2) 取本品約30mg,加氫氧化鈉液(0.1mol/L)5ml,振搖使溶解,加 稀硫酸1ml,即產生膠狀沉澱。
(3) 取本品約10mg,加水5ml,加新制的1%1,3-二羥基萘乙醇溶液1ml與鹽酸5ml,搖勻,煮沸5分鐘,放冷,轉移至60ml分液漏斗中,容器用水5ml洗滌,洗液併入分液漏斗中,加 異丙醚15ml,振搖提取,分取醚層,同時做空白對照,樣品管的 異丙醚層與對照管比較,應顯深紫色。
【檢查】 酸度取本品1.5g,加水50ml,振搖5分鐘
澱粉取本品0.1g,加 氫氧化鈉溶液(1→2500)100ml,振搖使溶解,取5ml,加碘試液 1滴,不得產生瞬變的藍色。
乾燥失重取本品,在105℃乾燥4小時,減失重量不得過15.0%
熾灼殘渣取本品0.5g,遺留殘渣不得過5.0%。
鐵鹽取本品1g,緩緩熾灼至完全炭化,在500~600℃熾灼至完全 灰化,加鹽酸3ml,使殘渣溶解後移入50ml量瓶中,加水至刻度,搖勻,精密量取5ml,置納氏比色管中,加水使成25ml,如顯色,與標準鐵溶液5ml製成的對照液比較,不得更深(0.05%)。
重金屬取熾灼殘渣項下遺留的殘渣,依法檢查含重金屬不得過百萬分之四十。
砷鹽取本品0.5g,加 無水碳酸鈉0.5g,混勻,加水少量濕潤,用小火緩緩熾灼至完全 灰化,放冷,加少量鹽酸至殘渣不再產生氣泡為止,加鹽酸5ml,與水23ml使溶解,含砷量不得過百萬分之三。
粘度在20℃時,取本品1%水溶液,用氫氧化鈉試液調至中性,用鏇轉粘度計測定(選2號轉子,轉速30n/min或60n/min)粘度應小於50×10<-3>Pa<>s。
酸值取本品0.5g,精密稱定,加水50ml與醋酸鈣液(0.25mol/L)30ml,搖勻,放置1小時,加酚酞指示液5滴,用氫氧化鈉液(0.1mol/L) 滴定,並將滴定的結果用空白試驗校正,按下式計算酸值:
(A-B)×M×56.1
酸值= ───────────
W(1-L)
A:樣品消耗氫氧化鈉液(0.1mo1/L)的容積(ml)
B:空白消耗氫氧化鈉液(0.1mo1/L)的容積(ml)
M:氫氧化鈉液的摩爾濃度
W:樣品的重量(g)
L:樣品的水分(%)
配伍禁忌
不可與強氧化劑配伍,海藻酸在除鎂離子外的鹼土金屬離子和Ⅲ族金屬離子存在下能生成不溶性鹽。
其他注意事項
【作用與用途】賦形劑,粘合劑,胃酸回流抑制劑。
【貯藏】密閉保存。
【用法用量】
(1)遇強酸則析出海藻酸;
(2)安全無毒,每日攝入量為 0.25mg/kg。
製備
常見的褐藻如 海帶、 馬尾藻、泡葉藻、 巨藻都是海藻酸的主要來源。海藻用 氫氧化鈉處理後抽提液與 硫酸等強酸反應製得海藻酸。 固氮菌和偽單胞菌也可以用於生物合成海藻酸,通常細菌合成的海藻酸可以產生微米級或納米級結構用於生物醫學工程領域 。
使用
工業
海藻酸可以快速的吸收水分,可以在 造紙和 紡織行業中用作脫水劑和上漿劑。它的主要功用是以海藻酸鈉或海藻酸鉀的形式在 食品工業和日用化學品工業中被用作 乳化劑或 增稠劑,是 冰激凌、 奶昔等食品及 化妝品的常見成分。
醫藥
在製藥業中,海藻酸是常用的輔料:它的粘性使它成為片劑的粘合劑;由於它遇水膨脹,又被用作崩解劑將片劑分散在人體內;或是用作分散劑分散有效成分到液體中成為 懸濁液;海藻酸鹽被用作藥物緩釋劑。牙科用它來替代石膏及橡膠,製作牙模。海藻酸本身可以作為吸收劑來治療 重金屬中毒 。

