定義
在流場中每一點上都與速度矢量相切的曲線稱為流線。
流線的定義流線是同一時刻不同流體質點所組成的曲線,它給出該時刻不同流體質點的速度方向。
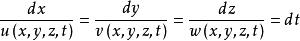
確定流線的微分方程為:
d r× v(r,t)=0
式中 v(r,t)和d r分別為速度矢量和弧元素矢量,t為時間,積分時當作常數。上述方程在直角坐標系中的表達式為:
流線若C為流體中非流線且不自相交的封閉曲線,在同一時刻過C上每一點作流線,則這些流線所組成的曲面稱為流管。
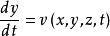
跡線是流體質點在空間運動時所描繪出來的曲線。它給出同一流體質點在不同時刻的速度方向。若流體運動以歐拉變數形式給出: v= v( r,t),其中v為速度矢量; r為矢徑,t為時間,則積分下列微分方程組:
流線,
流線,
流線,
並在積分後將所得表達式中的t消去即得跡線方程(見“跡線”詞條)。上面各式中t為自變數;直角坐標x、y、z為t的函式;u、v、w分別為速度矢量在x,y、z軸上的分量。
流線的幾點性質
1.在運動流體的整個空間,可繪出一系列的流線,稱為流線簇。流線簇的疏密程度反映了該時刻流場中速度的不同。
2.當為非定常流時,流線的形狀隨時間改變:對於定常流,流線的形狀和位置不隨時間而變化。
3.定常流的流線和跡線重合。
4.一般情況下,流線不能相交,不能折轉,只能是一條光滑曲線。
跡線和流線的區別
流線和跡線是兩個具有不同內容和意義的曲線。跡線是同一流體質點在不同時刻形成的曲線,它和拉格朗日觀點相聯繫;而流線則是同一時刻不同流體質點所組成的曲線,它和歐拉觀點相聯繫。
跡線微分方程:
流線流線微分方程:
流線這兩種具有不同內容的曲線在一般的非定常運動情形下是不重合的,只有在定常運動時,兩者才形式上重合在一起(見流體運動學)。

