流形上的控制理論
正文
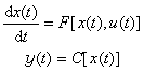
建立在微分流形基礎上的、研究控制系統的運動和特性的理論。微分流形是通常意義下光滑曲面概念的推廣。在微分流形上的每一點周圍都可建立一個局部的歐幾里得坐標系,但不一定能在整個流形上建立統一的歐幾里得坐標。歐幾里得空間只是微分流形的一個特例。不少實際系統的狀態變數的取值範圍都可以看成為微分流形。流形上的控制理論比傳統的控制理論更具有一般性。研究流形上的控制系統的主要數學工具是微分幾何。對流形上的控制理論的研究始於20世紀70年代初,它的出現為非線性系統理論的研究開闢了新的途徑。由於問題本身的困難性和數學方法的複雜性,這一理論中成熟的結果還不多,它尚處於形成和發展的階段。在流形上的控制理論中,系統的數學模型的一般形式為


流形上的控制理論對一些有關的基本問題已取得一些結果,其中包括能控性和能達性、不變分布、線性化。
能控性和能達性 狀態z∈M是由狀態x ∈M 能達的,規定為存在容許控制u(t),使得在有限時間內u(t)可以把狀態z引導到狀態x。用Ω(x)表示由狀態x能達的狀態的集合,則當 Ω(x)=M時系統的狀態x稱為能控。如果每個狀態x ∈M都是能控的,則稱系統是能控的。能控性涉及系統在流形上的整體性質,是一個很困難的問題,尚未完滿解決。如果Ω(x)包含M的一個非空開子集,狀態 x就稱為能達的,這是比能控性弱一些的概念。關於能達性的一些重要的結果是由H.J.薩斯曼和V.J.尤傑維茨利用李代數方法得到的。
不變分布 不變分布是為研究前面指出的一類特殊類型的系統在狀態反饋或輸出反饋下抗擾動,解耦等問題而引進的重要概念。A.伊西多里和A.J.克雷納等人研究了不變分布,並套用它討論了系統的抗擾動和解耦問題。
線性化 對於前面指出的一類特殊形式的非線性系統,如能找到一個可逆的變換,使得系統能與一個線性系統相互轉換,就可以使系統的實際設計工作大為簡化。L.R.亨特等人已找到這類系統可用 A和Bi(i=1,2,…,m)描述實現線性化的充分必要條件,並套用于飛行器的自動控制系統的設計。
參考書目
Roger W.Brockett, Richard S.Millman and Hector J.Sussmann, Differential Geometric Control Theory, Birkhuser, Boston, 1983.

