曲軸幾何
定義
活塞運動方程活塞桿長度(活塞銷與曲柄銷之間的距離)
活塞運動方程曲柄半徑(曲柄銷與曲柄中心之間的距離,即半行程)
活塞運動方程曲軸轉角(從缸膛中心線開始)
活塞運動方程活塞銷位置(從曲軸中心沿缸膛中心線向上)
活塞運動方程活塞銷速度(從曲軸中心沿缸膛中心線向上)
活塞運動方程活塞銷加速度(從曲軸中心沿缸膛中心線向上)
活塞運動方程曲柄角速度
角速度
所述曲軸的角速度,即是發動機每分鐘轉數(RPM):
活塞運動方程三角關係
圖一如圖一所示,曲柄銷,曲柄中心和活塞銷形成角NOP。根據餘弦定理可以看出:
活塞運動方程關於角度位置的方程
以下公式描述活塞相對於曲軸轉角的往復運動。下面顯示了這些方程的示例圖。
位置
相對於曲軸轉角的位置(通過重新排列三角關係):
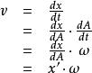
活塞運動方程速度
相對於曲軸轉角的速度(採用一階導數,使用鏈式法則):
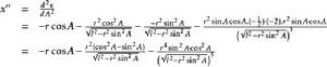
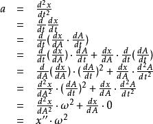
活塞運動方程加速
關於曲軸轉角的加速度(採用二階導數,使用鏈式法則和商法則):
活塞運動方程時間方程
角速度導數
如果角速度是恆定的,那么
活塞運動方程並適用以下關係:
活塞運動方程
活塞運動方程從角度域轉換到時域
下面的等式描述了活塞相對於時間的往復運動。如果時間域是必需的,而不是角度域,先用 ω 取代在等式噸,然後擴展為角速度如下:
位置
單純相對於時間的位置即是:
活塞運動方程速度
相對於時間的速度(使用鏈式法則):
活塞運動方程加速
相對於時間的加速度(使用鏈式法則和乘積法則以及角速度導數):
活塞運動方程角速度的比例關係
速度最大值和最小值
加速過零點
速度的最大值和最小值都沒有在曲柄角度發生(A)加或減90°。速度最大值和最小值出現取決於桿長(l)和半行程(r)的曲柄角上,並且對應於加速度為零(橫過水平軸)的曲柄角。
曲柄桿角度不正確
當曲柄與桿成直角時,速度最大值和最小值不一定會發生。有反例證明當曲柄角度正確時速度最大值/最小值出現的觀點。
示例
對於 6 英寸的連桿長和 2 英寸的曲柄半徑,通過數值求解加速度過零點,可確定速度最大值/最小值在曲柄角±73.17615°處。然後使用三角正弦定律,發現曲柄角為88.21738°,桿垂直角為18.60647°。在這個例子中,顯然地曲柄和連桿之間的角度並不是直角。
總結三角形的角度 88.21738°+ 18.60647°+ 73.17615°給出 180.000°。這個反例就反駁了“速度最大值/最小值是發生在當曲柄與桿成直角時”的說法。

