簡介
中文名稱:洛度沙胺
中文別名:樂免敏;阿樂邁;諾朵腈酸;洛草氨酸;洛草氨酸氨丁三醇
英文名稱:Lodoxamide
英文別名:Alcomide
它累及角膜和結合膜,引起角結膜炎症。這種角結膜炎是以周期性,經常是以季節性的加劇為特徵。這種病常見於兒童和青年人。易感的個體由空氣傳播的致敏源或接觸角膜的隱形眼鏡為誘因。最近研究表明,病因可能由於數種免疫機制受累。
健康人眼中含有幾百萬個肥大細胞,每個含有幾百個顆粒,每個顆粒含有化學介質如組織胺等。由於受到致敏源的作用,可引起介質的釋放,而這種介質可增加結膜毛細血管的通透性,因而觸發速髮型和遲髮型炎症反應。這種結果導致Ⅰ型過敏性反應而伴有瘙癢,發紅和流淚。
本品通過穩定肥大細胞抑制Ⅰ型速髮型過敏反應,它可防止組織胺和其它對致敏源反應的介質釋放,例如過敏性慢反應物質(SRS-A)。本品無固有的抗組織胺、血管收縮、環氧化酶抑制作用或其它抗炎症作用。這個新藥至少像色甘氨酸一樣,對春天發生的角結合膜炎的過敏症狀有效,而在一項比較試驗中表明本品比色甘氨酸更為有效。
藥物說明
劑型
5ml,10ml,15ml。
藥理作用
洛度沙洛度沙胺為一種肥大細胞穩定劑,可抑制動物及人體的Ⅰ型速發性變態反應。在猴的實驗中,洛度沙胺可防止致敏原導致支氣管痙攣及肺功能的降低;也可抑制大鼠、猴及人反應素,IgE及抗原介導反應產生的皮膚血管通透性的增加,也可以對瞼結膜血管產生同樣的反應。由於洛度沙胺在Ⅰ型速發性變態反應的病理過程中所發揮的重要作用,因此可用於過敏性眼病的治療。體外試驗證實,洛度沙胺阻止特異性抗原所導致的組胺的釋放,此外洛度沙胺還可阻止肥大細胞及其他炎症性介質的釋放(如SRS-A,即過敏反應的慢反應物,亦即肽-白三烯)。洛度沙胺可阻止受刺激後鈣離子向肥大細胞內的轉移,從而抑制組胺的釋放。洛度沙胺(樂免敏)滴眼液對過敏性結膜炎的療效比2%色甘酸鈉滴眼液為好,一般經過14~21天的治療(每天滴眼4次)症狀即可控制。
藥代動力學
(尚不明確)
適應症
各種過敏性眼病,如春季角、結膜炎,卡他性結膜炎,巨大乳頭性瞼結膜炎,過敏性或特異反應性角結膜炎,也包括那些病因不明,但一般由空氣傳播的抗原及隱形眼鏡引起的過敏反應。洛度沙胺還對那些主要由Ⅰ型速發性變態反應(或肥大細胞)引起的炎症性眼病有效。
禁忌症
1.對洛度沙胺過敏者禁用。
2.妊娠及哺乳婦女禁用。
注意事項
1.洛度沙胺僅限外用,不能注射,也不要與滴眼液瓶口接觸,以免污染藥液。
2.滴眼液中含有氨苄烷胺,用藥物時勿佩戴隱形眼鏡,須等數小時後方可佩戴。
不良反應
如灼熱、刺痛及流淚。
用法用量
成人及兒童每天4次,每次1或2滴。(4歲以下兒童的安全及有效性尚未確定)用藥後症狀改善(如不適、癢感、異物感、畏光、刺痛、流淚、發紅及腫脹等的緩解)通常需數日,有時須持續治療達4周。用藥後如症狀減輕,要堅持用藥至進一步改善,如果治療需要,洛度沙胺也可與皮質激素類藥物同用。
藥物相互作用
洛度沙胺可與皮質激素類藥物同用。
專家點評
洛度沙胺點眼對過敏性結膜炎的療效比2%色甘酸鈉滴眼液為好,一般經過14~21天的治療(每天滴眼4次)症狀即可控制 。
洛度沙胺滴眼液
【通用名稱】洛度沙胺滴眼液
【商品名稱】阿樂邁 Alomide
【英文名稱】Lodoxamide Eye Drops
【漢語拼音】Luo Du Sha An Di Yan Ye
洛度沙胺活性成分:氨丁醇洛度沙胺1.78mg(相當於洛度沙胺1mg)
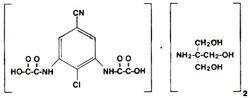
化學名稱:氮,氮·-(2-氯基-5-氰基-間-亞苯基)二噁酸
化學結構式:
分子式:CHCINO·[CHNO]
分子量:553.91
保存劑:苯扎氯銨。
非活性成份:甘露醇、羥丙甲纖維素、枸櫞酸鈉、檸檬酸、依地酸二鈉、四丁酚醛和純淨水。
所屬類別:
化藥及生物製品>>眼科用藥>>其他眼科用藥
性狀:
本品為無色或幾乎無色的澄明液體。
適應症:
本品可用於治療:
1.過敏性眼病,如春季卡他性角結膜炎、卡他性結膜炎、巨大乳頭性瞼結膜炎、過敏性或特異反應性角結膜炎等,解除其症狀和體徵。
2.由 I型速發性變態反應(或肥大細胞)引起的非感染性炎性眼疾。
規格:
5ml:5mg(0.1%)
用法用量:
成人和2歲以上兒童每日4次,每次1-2滴。
應告訴患者滴用本品的療效取決於是否有規律地滴藥。用藥後症狀(如不適、癢感、異物感、畏光、刺痛、流淚、分泌物、眼紅和水腫、球結膜、角膜緣和角膜上皮病變)的明顯緩解通常需數天。用藥後一旦症狀減輕,應堅持用藥至進一步改善,有時需持續治療4周。如果治療需要,本品可與腎上腺皮質激素類藥物聯合套用。
不良反應:
一般對本品的耐受性良好,對照臨床試驗發現,最常見的不良反應是滴藥後有短暫輕微不適感,如灼熱、刺痛、癢和流淚,約在8.7%的病人中發生。
禁忌:
對本藥高度敏感者。
注意事項:
1.本藥僅限外用,不能注射。
2.勿與滴眼瓶口接觸,以免污染藥液。
3.用藥物時勿配戴隱性眼鏡,需等數小時後方可配戴。
4.用藥次數勿任意增加。
孕婦及哺乳期婦女用藥:
動物實驗未發現本藥對母體的生殖能力、胚胎及新生動物有不良影響,但尚沒有對妊娠婦女進行嚴格的有關臨床藥理試驗,因此妊娠婦女應慎用。哺乳期婦女也應慎用。
兒童用藥:
目前尚缺乏2歲以下兒童使用本品的詳細研究資料。
老年用藥:
同成年人。
藥物相互作用:
目前尚缺乏相關研究資料。
藥物過量:
尚無滴用本品後發生過量的報告。如果用量太大,可用清水沖洗眼部。目前尚不知道吞服本品後的症狀。如發生這種情況,可由醫生決定是否進行催吐。
藥理毒理:
洛草氨酸是一種肥大細胞穩定劑,通過抑制肥大細胞脫顆粒,降低靶細胞膜對鈣離子的通透性,而抑制I型速發變態反應,防止致敏原導致的支氣管痙攣及肺功能的降低,也可抑制由於反應素、IgE及抗原介導反應出現的皮膚血管通透性的增加。用本藥點眼時,可對瞼結膜血管產生同樣的反應,用於治療過敏性眼病。體外試驗證實,本藥阻止特異性抗原所導致的組織胺的釋放,此外還可阻止肥大細胞及其它炎症性介質的釋放(如SRS-A,即過敏反應的慢反應物質,亦即肽-白三烯)。洛草氨酸還可阻止受刺激後,鈣離子向肥大細胞內的轉移,從而抑制組織胺的釋放,並且抑制嗜酸細胞的趨化作用。一般用藥7天療效明顯可見,用藥14-21天症狀即可控制,繼續治療則病情進一步改善。
藥代動力學:
目前尚缺乏本品詳細的藥代動力學研究資料。
貯藏:
1.15-27℃保存,防止兒童接觸到。
2.開瓶後一個月,藥液應勿再滴用。
包裝:
裝於5毫升DROP-TAINER 塑膠滴瓶中。1支/盒。
有效期:
24個月。
妊娠分級:
FDA妊娠分級:B
