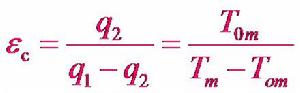
洛倫茲循環T-S圖

在熱源溫度變化的情況下,由兩個與熱源做無溫差傳熱的多變過程及兩個等熵過程組成的逆向可逆循環,稱為洛倫茲循環,這是變溫條件下製冷係數最大的循環。 為了表達變溫條件下可逆循環的製冷係數,可採用平均當量溫度這一概念,T0m表示工質平均吸熱溫度,Tm表示工質平均放熱溫度,ε表示製冷係數。 洛倫茲循環的製冷係數相當於在恆溫熱源T0m和Tm間工作的逆卡諾循環的製冷係數。
洛倫茲循環T-S圖
《身後事》是阿格尼茲卡·沃特維茲-沃斯洛導演,於2010年4月9日上映的美國電影。故事的主人公是一個正徘徊良在生死之間的年輕女人,她努力想活下來,不被活...
劇情簡介 演職員表 幕後花絮 劇情分析 精彩對白土魯斯(Toulouse) 法國西南部大城市。南部-庇里牛斯大區(Midi-Pyrénées)上加龍省(Haute-Garonne)省會。人口約9354...
歷史沿革 城市建設 國際關係 旅遊 世界文化遺產《雪球:沃倫·巴菲特及其人生經營》第一次揭開了巴菲特的真實人生,為我們描述了一個和普通人一樣遭遇過挫折和失敗的巴菲特,如何在投資和商業中獲得了巨大成功和...
簡介 書摘 評論 第一部分 第二部分破例花費了2000小時與作者施洛德進行長談,回顧他的兒時、他過去...倫在用手接雪花。一開始是一次一片;接著,他把這些少量的雪積鏟到一塊,開始堆雪球。雪球變大之後,沃倫把它放到地上。雪球開始慢慢的滾動。沃倫每推動...
《滾雪球》簡介 《滾雪球》書摘 《滾雪球》評論 滾雪球 第一部分 滾雪球 第二部分布倫尼斯洛·馬林諾夫斯基(1884~1942)Malinowski,BronislawKaspar英國人類學家。功能學派創始人之一。馬林諾夫斯基第一個成...
基本信息 家庭背景 人物年表 學術生涯 理論研究飛行員及武術專家;菲茲探員( 伊恩·德·卡斯泰克 飾演)是一位天才科學家...一些能力強悍的特工,如冷靜機智的特工梅,專門設計各種高科技武器物理學的菲茲...,運用音頻技術,菲茲利用物理高科技,還原了爆炸前的畫面,原來爆炸是從人...
劇情簡介 分集劇情 演職員表 角色介紹 幕後花絮劇情簡介第一季:凶宅故事背景設定在2011年。心理醫生 本·哈蒙(迪倫...。科泰茲旅館是一家建於上個世紀的神秘旅館。這家旅館常常出現顧客入住後便...·波莫飾);多諾萬的母親,旅館前台 艾芮斯(凱茜·貝茨飾)和調酒師 麗茲...
劇情簡介 分集劇情 演職員表 角色介紹 獲獎記錄亞特蘭大機場建立在亞特蘭大市南區與喬治亞大學城相鄰的地方。機場鄰近的市鎮有福爾頓(Fulton)、凱爾頓(Clayton)等,而和亞特蘭大是聯結的市鎮除...
基本信息 機場概況 歷史沿革 布局 機場跑道